等差、等比数列重要性质全汇总!|小姚老师
未完工
一:等差数列的各种性质
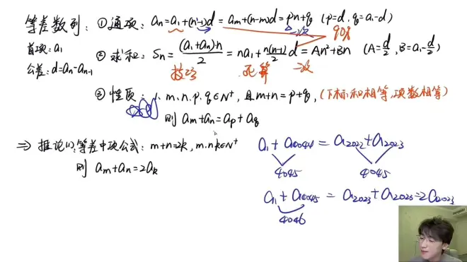
1.等差数列的公式汇总

00:38
2.与函数的关系:等差数列↔一次函数
注意:Sn公式的第一个在高考中主要运用于技巧性速算,而第二个则是死算性公式
部分高考例题(简单)

01:56
如果遇到n值过大,则直接考虑使用第一个求和公式,但是运用该公式,通常需要结合等差数列的其他性质,如下图

03:13
③中的式子是运用最多的,经常与Sn联合使用
(项数相等,下标和相等)
通过上面的式子,可以推导出等差中项公式

04:45
通过将这两个重要性质结合在一起,便可以出现下图中的常见题型

04:59
通过上述两个式子又可以推导出an与前2n-1项和的关系(重要)

08:06
通过这个式子,经常会考查下图题型

09:29
只要是知道Sn的等式求an,均可以使用这个公式求解
此外,我们也会遇到Sn/n类等差数列题型

12:02
例题

12:15
令Sn/n=bn,求出其公差,然后再带入原式中求解答案
如果遇到下列式子,要记住其本质就是Sn/n类题型

最后,等差数列中还有一个重要性质,即连续m和仍然等差,如下图

15:00
例题

解法如下


