欢迎光临散文网 会员登陆 & 注册

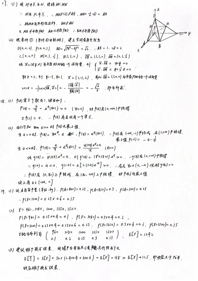
上海高考数学模拟试卷参考答案和解析-主观题

2023-02-23 00:24 作者:欧西给岁月以文明  | 我要投稿

试卷:2023年上海高考数学原创模拟试卷

客观题解析:上海高考数学模拟试卷参考答案和解析-客观题

如有错误和疑问欢迎在评论区或私信指出~


上海高考数学模拟试卷参考答案和解析-主观题的评论 (共 条)

分享到微博请遵守国家法律