高一高二期末考试典型题目解析
https://www.bilibili.com/video/BV1nD4y1w7yE/?vd_source=43b699ba0b61324ec15ebfc74063eb19
Majinews公益课堂
高一数学







高二数学






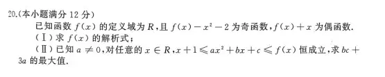
附最后一题的手写解答过程:

https://www.bilibili.com/video/BV1nD4y1w7yE/?vd_source=43b699ba0b61324ec15ebfc74063eb19
Majinews公益课堂
高一数学







高二数学






附最后一题的手写解答过程:
