欢迎光临散文网 会员登陆 & 注册

隐函数求导公式的证明

2023-02-25 21:34 作者:我爱计算机科学  | 我要投稿

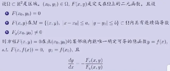
我们知道,隐函数的求导公式如下:

但一般的教科书中,没有证明,这里转载一篇证明:

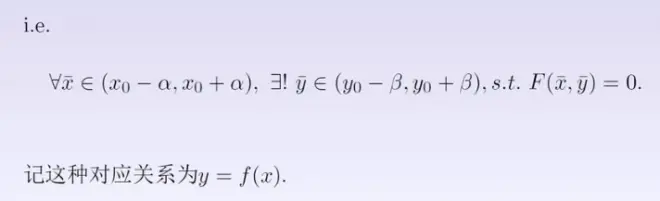
这里的DxE就是两个一维区间相乘得出的二维区间。



上面的s.t.的意思是使得...满足...的意思。


上面的存在符合表示的是唯一存在的意思。



整个证明的关键就是上图。上图的证明用到了函数的连续性以及拉格朗日中值定理等。


隐函数求导公式的证明的评论 (共 条)

分享到微博请遵守国家法律