欢迎光临散文网
会员登陆 & 注册
手机站
首页
散文
诗歌
杂文
随笔
日记
小小说
散文网
»
生活
»
日常
» 湖北省十一校2022-2023学年高三下学期3月第二次联考数学试题(含答案)
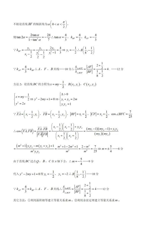
湖北省十一校2022-2023学年高三下学期3月第二次联考数学试题(含答案)
2023-03-31 10:56 作者:
高中数学每日一题
0
人读过
|
我要投稿
标签:
我喜欢(
)
本文
作者的其他文章
湖北省十一校2022-2023学年高三下学期3月第二次联考数学试题(含答案)的评论 (共
条)
分享到微博
请遵守国家法律
高中数学每日一题
发短消息
关注TA
你可能也喜欢这些文章
【尚优公考-2023安徽省考面试班】合肥公务员面试培训班-面试技巧:没有草稿纸
孕妈怀孕期间多梦怎么办?西安燕子月嫂分享
2023.03.31 ArXiv精选
禽医安安讲鹅发烧的症状与解决方法鹅发烧的症状出现在哪些
重复测量方差全流程总结
名创优品的“百国千亿万店”的目标,难实现!
医院终端机银行自助机酒店政务查询一体机自助终端机
及时电电瓶车充电桩有哪些安装场景?哪种最受欢迎?
主机如何区分不同的网络服务?
重庆pvc透明门帘定做,商超磁吸门帘安装技巧
最新发布的文章
农发行河津市支行做好年终决算工作
农发行河津市支行持续加强反洗钱工作管理
农发行河津市支行扎实做好安保工作
农发行河津市支行组织开展宪法主题宣传活动
农发行河津市支行开展"挺膺担当,强国复兴"主题团日活动
年终总结2023,布局2024,挑一个目标置顶一整年!
12月20日维护结束,冰雪嘉年华开启!
2023扫文—高热不止 by 黄昏密度
Dive 55 工作的平衡
时尚 | 时尚趋势是如何做出来的?
三星 Galaxy S24 Ultra,HP2SX两亿像素主摄,骁龙8Gen3超频版,钛合金机身,类2K直屏
重庆TOP DECK超牌12月16日游戏王OCG积分赛环境战报
致命公司多人联机mod,汉化游戏下载使用安装教学!
致命公司多人mod,超全MOD模组管理器
战网下载卡在45%登录失败提示2045报错/战网一键下载注册教程!