万有引力常数和电荷和“磁单极子”的联系(六续)
万有引力常数和电荷和“磁单极子”的联系(六续)
(热力学方程(绝对零度???关于电磁的最终方程???)和爱因斯坦方程的近似???)

最近灵感爆发啊,还是咋了。
不对,也许只是脑洞大。
最近真的在看规范和几何啊,无奈数学好难啊。
这篇是正在学习爱因斯坦方程时以及结合其他的一些乱七八糟的想法。
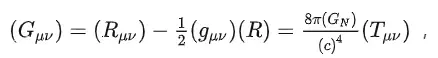
下面四张截图来源于,爱因斯坦场方程系数确定—牛顿近似_哔哩哔哩_bilibili。




我想说,如果这个视频解说是对的话,那么,爱因斯坦方程,
即,

这个其中的常数 ,如果和上上篇文章里的这个有关系的话,那么,

算了,下面这个不想另起符号了,凑合着看吧,如果电磁有个极其类似于爱因斯坦方程的方程的话,

那么这个是否就是关于电磁的最终方程??并且,这个也从和这个角度解释为什么会有绝对零度。
好吧,这个脑洞开的实在是太大了,但是应该和电磁有关系铁定没错。
并且,这个是我能从“数学结构”方面找到的唯一关于觉得绝对零度方面的公式了。
而且,在上上篇文章中,有关于绝对零度的等式,

那么,这样看的话,似乎也不是多离谱。
算了,再说吧这个。
。。。。。。割。。。。。。。。
说点儿废话,我感觉似乎又来到一个点儿上面来了(就是所有事情聚集在一个上面,解开这个又能前进一小步),本来不想扯什么关于宇宙啊时间啊什么的话题的,感觉太虚了。
但是似乎物理深究下去必然会和这些扯上关系,比如,既然方程或者公式这样,那么,它的适用范围呢,如果它的适用范围貌似发现现在都可以,那么,它能否和这个大世界(宇宙)有关系。如果有,那么有什么关系,以及,一些特殊值是否是这个方程或者公式的解??以及,如果是的话,那么,我们的宇宙是什么??以及,诸如此类的,各种联系扑脑而来啊。
但是但是但是,有时候却又有一种渺小却伟大的感觉。就像是,假如有种宏观视角的话,把一个东西放大一千倍一万倍,然后继续放大下去,不知道什么时候,定位到了银河系,定位到了太阳系,再定位到了地球上,然后,这个星球连智慧生物同类之间的温饱甚至生存都没解决的情况下,地球上的某个角落,某个智慧生物的某个瞬间的火花,却和这个不知道是不是无穷大的东西突然联系在了一起。
感觉好扯啊。。。算了,再说吧,感觉这个物理坑是填不完了。

