欢迎光临散文网
会员登陆 & 注册
手机站
首页
散文
诗歌
杂文
随笔
日记
小小说
散文网
»
笔记
»
全部笔记
» 高中数学基础与解法全集(涵盖所有)|长期更新|从零开始拯救所有学渣!通俗易...
高中数学基础与解法全集(涵盖所有)|长期更新|从零开始拯救所有学渣!通俗易...
2023-08-29 11:46 作者:
作为一撮猫毛
0
人读过
|
我要投稿
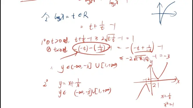
值域进阶
1.y=x+4+√9-x²(三角换元)
2.均值不等式(换底公式)
y=log₃a+logₐ3-1
对勾函数
y=x+x/1
3.数形结合
y=√(x+3)²+6+√(x-5)+4
标签:
我喜欢(
)
本文
作者的其他文章
高中数学基础与解法全集(涵盖所有)|长期更新|从零开始拯救所有学渣!通俗易...的评论 (共
条)
分享到微博
请遵守国家法律
作为一撮猫毛
发短消息
关注TA
你可能也喜欢这些文章
河南德谷食品:高标准抓好蛋液质量管理,守护人们餐桌上的安全
转让新乡房建二级市政二级电力二级资质现成安许公司转让
废气塔喷淋泵
坐骨神经的缘由
15分钟讲透自由泳
哀牢山迷帝:普洱茶的千般韵味
艺术签名怎么设计名字?看完这篇文章你就会了
公司实际地址和注册地址不一样,合法吗?
学动漫制作的学校, 在动漫领域中,会有什么突发情况?
十大图像处理经典算法分享
最新发布的文章
农发行河津市支行做好年终决算工作
农发行河津市支行持续加强反洗钱工作管理
农发行河津市支行扎实做好安保工作
农发行河津市支行组织开展宪法主题宣传活动
农发行河津市支行开展"挺膺担当,强国复兴"主题团日活动
年终总结2023,布局2024,挑一个目标置顶一整年!
12月20日维护结束,冰雪嘉年华开启!
2023扫文—高热不止 by 黄昏密度
Dive 55 工作的平衡
时尚 | 时尚趋势是如何做出来的?
三星 Galaxy S24 Ultra,HP2SX两亿像素主摄,骁龙8Gen3超频版,钛合金机身,类2K直屏
重庆TOP DECK超牌12月16日游戏王OCG积分赛环境战报
致命公司多人联机mod,汉化游戏下载使用安装教学!
致命公司多人mod,超全MOD模组管理器
战网下载卡在45%登录失败提示2045报错/战网一键下载注册教程!