盘点高中数学有价值的二级结论!别学没用的!【必修篇】

不等式↪解最值 通法↪万能k法
三元不等式↪多项积和多项和
h↪添倍数2h,h²↪拆成h和h

柯西不等式↪①调节系数②相邻项乘积为定值


权方和不等式↪①涉及分数
②分子/母之和为常数

例题

三角换元

例题

法一:三角换元↪解出x/y(用三角函数表示)
法二:基本不等式
法三:万能k法
总结

函数性质
函数运算

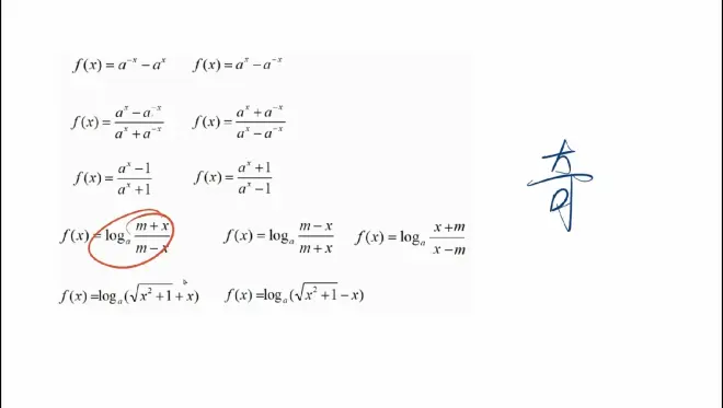
奇函数判别

奇常函数

对称性

例题

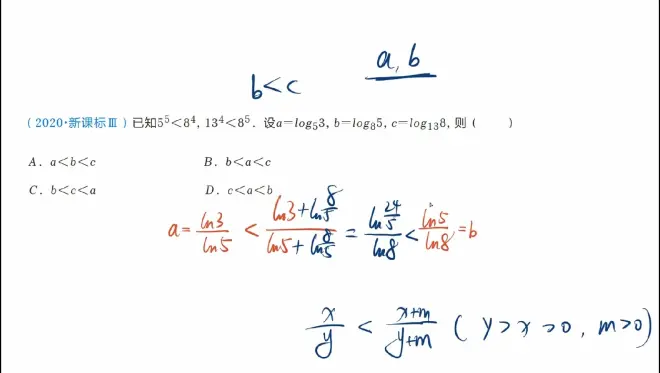
比大小

泰勒展开↪记前三项
使用条件↪①出现特定函数 ②x较小
注意加号/减号
右边项数越多,值越近

例题

糖水不等式↪不相等分母放缩↪变成相等
例题

总结

三角
和差化积

积化和差

万能公式↪设t,记形式
投影法↪一边固定不动,一边动
极化恒等式公式变形

托勒密公式

解三角形

等面积法


三垂线定理↪异面直线转化成共面

台体公式


