《超弦和M理论导论》1.3
1.3路径积分和点粒子
让我们从分析所有可能系统中最简单的——传统非相对论粒子来开始我们的讨论。惊人的是,对这个简单运动系统的大部分分析都能直接延续到超弦理论。我们用的语言是路径积分的阐述,这个阐述通用到
————
19
可以将半经典量子化和正则量子化都同样简单地囊括起来。
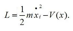
在经典力学中,起始点是一个点粒子的拉格朗日量。

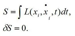
在这里粒子是在外电位中运动的。真材实料的物理要保证作用量S必须是最小。运动方程可以通过最小作用量推导出来:

为了计算运动方程,让我们在粒子的路径上做一点小小的改动,就像这样:

有了这个小改动,作用量就变成了这样:

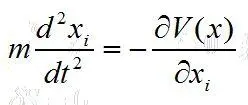
分部积分,我们得到欧拉-拉格朗日方程:

对于我们的例子,运动方程变成

它和经典的牛顿运动方程是一样的。
除了经典力学的拉格朗日公式,还有哈密顿的形式。我们现在不把位置和速度作为基本对象引入,而是引入位置和动量:

根据共轭变量的定义,我们有

最后,动量和坐标之间的泊松(Poisson)括号由它给予

————
20
经典力学的一个著名定理表明,牛顿运动方程和作用量原理方法是相同的,从作用原理开始我们可以推导出牛顿运动方程,反之亦然
运动方程←→作用量原理
然而,这种等效性在量子水平上就破灭了。(This equivalence,however,breaks down at the quantum level.)从量子力学的角度看,两者之间存在根本性的区别,运动方程只是对物质实际量子行为的近似。因此,最小作用量原理是量子力学唯一可接受的框架。(Thus,the action principle is the only acceptable framework for quantum mechanics.)
现在让我们用费曼路径积分来重新阐述量子力学的原理:
(1)粒子从a点移动到b点的概率P(a,b)是一个复数的绝对值的平方,即过渡函数K(a,b):

(2)过渡函数是由一个确定的相位因子的加和得出的,该相位因子是作用量S的函数,囊括了a到b的所有可能路径:

常数k可由它确定

并且这个中间加和囊括了所有到达中间点b的路径
第二个原理说明一个粒子“嗅闻出”所有从点a到点b的可能路径,不管这些路径有多复杂。我们给这无穷多的路径中的每一条都计算出相位因子,然后通过加和所有可能的相位因子来计算a到b之间路径的过渡因子(参见图1.6)。
值得注意的是,量子力学的本质体现在这两个原理中。(the essence of quantum mechanics is captured in these two principles.)量子力学所有极其重要的、代表着及其反对经典力学的内涵,都可以从这两个看上去人畜无害的原理中推导出来!特别是这两个原理总结出双缝实验量子表述的本质,而双缝实验反过来又总结量子力学自身的本质。
显然在这一点上,经典力学的结果可以从我们的两个假设近似地再现出来,注意到
————
21

对于与普朗克常数相比较大的S的值,相位因子波动迅速,消除了这些贡献:

因此,对路径积分那些唯一的贡献是与经典路径的偏离在一个普朗克常数上的:

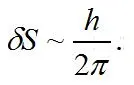
我们看到只有在一个确定的经典极限中,也就是普朗克常数变成零的时候,欧拉-拉格朗日方程才能再现。因此普朗克常数的大小最终决定了一个粒子执行经典禁锢的轨迹的可能性。我们看到海森堡测不准原理的起源就体现在这两个原理中。
现在让我们尝试用路径积分来更精确地重新表述这个原理。第二个原理现在是

在这里

————
22
以及

在这里标n标记了N个中间点,这些中间点划分了初始坐标和最终坐标之间的间隔。我们要取N趋近于无穷大的极限。
理解Dx的积分不是对x的普通积分是绝对必要的,事实上,它是对a点和b点之间的所有中间点x下标i,n的所有可能的积分的乘积,普通积分和函数积分之间的关键区别是路径积分形式的核心。
这个无穷级数的积分,反过来,相当于对a和b之间所有可能的路径求和,因此,在对无穷多个中间点进行积分时,我们必须小心地纳入归一化因子。
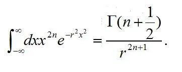
如果我们取L=1/2 mx'^2,所有的泛函表示积分实际上都可以精确地执行。这里的积分是高斯积分,幸运的是,它是少数可以被精确计算的函数积分之一。路径积分方法的一大尴尬之处在于,实际上可以计算的少数几个积分之一是

我们将在整本书中都用到这个公式。
让我们现在把路径分成无数个中间点x下标i,n(注意到该函数表达出对中间点x下标i,n所有可能值的积分,所以我们不能说x下标i,n和x下标i,n+1彼此挨着对方,即使时间间隔很小。)我们写下

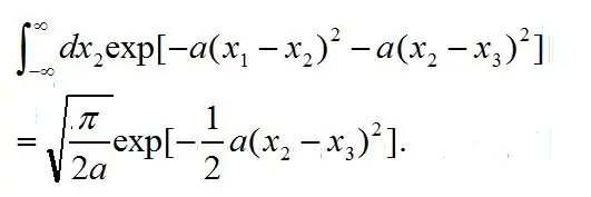
为了在无穷多个中间点上计算函数的积分,我们将多次使用下面的高斯积分:

这里有个关键点是,在一个中间点上对一个高斯分布积分,会得到另一个去掉中间点的高斯分布。这就是我们为什么能够在无限个中间点上进行泛函积分的根本原因。
————
23
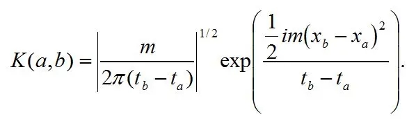
最终,我们要计算的路径积分就在这里

(这里我们已经间隔了向量标i)。运用之前这个关系(1.3.20),最终结果就等于

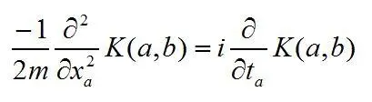
过渡概率函数K有很多有意思的性质。比如,它得出波动方程

此时t下标a比t下标b更大。
稍后,我们将把这些表达式推广到自由传播弦的情况下,我们会发现格林函数的这些表达式只有很小但很重要的变化。
为了展示路径积分方法中哈密顿形式和拉格朗日形式之间的关系,当我们划分从a到b的路径时,插入一组完整的中间状态很有帮助。让我们把变量x看作一个作用于一组本征态的算子x抑扬符:

|x>表示位置算子的本征态,将x抑扬符视为本征值等于数字x的算子。那么,对于坐标和动量的本征态的完备性可以表示为

我们将状态归一化如下:

(由于在路径积分形式中不断出现无数的归一化常数,为了清晰起见,我们在本书中经常把它们删掉。我们不会失去任何一般性,因为当然,只要我们愿意,我们就可以将它们重新塞进路径积分。)
————
24
有了这些本征态,我们现在可以重写从点x下标1到x下标N的格林函数的表达式。

为了推导之前过渡振幅的表达式(1.3.22),我们在x下标1到x下标N的每个中间点插入一组完整的中间状态:

现在让我们用哈密顿的方法来检查每一个无穷小的传播子,我们把它写成坐标和偏微分的函数:

则无穷小区间的跃迁由它得到

值得注意的是,路径积分使得从经典换向子到量子换向子的过渡成为可能。哈密顿量既可以表示为对位置的偏微分的函数,也可以表示为正则动量的函数,因为有个恒等式:

这使我们能够搞出这个重要的等式:

在泛函形式中,动量和偏微分之间的重要对应关系源于这个恒等式。
把这些放在一起,我们现在可以把完整的过渡振幅写成

————
25
在这里

(像往常一样,我们去掉了所有的中间归一化,它们只是2π的因子。)注意函数积分之前只是一个坐标的函数,现在则是动量和坐标的函数。
为了计算原始的拉格朗日函数,我们可以精确地进行p积分,因为它是一个简单的高斯积分,我们得到

因此,我们使用泛函方法在拉格朗日和哈密顿形式之间进行了转换。我们可以使用任意一种形式:

函数上,这两个表达式的唯一区别是我们是对坐标进行积分还是对坐标和动量的组合进行积分。过渡概率就可以表示为

————

