欢迎光临散文网
会员登陆 & 注册
手机站
首页
散文
诗歌
杂文
随笔
日记
小小说
散文网
»
生活
»
日常
» 第一届MAS数学竞赛初赛答案及部分解析
第一届MAS数学竞赛初赛答案及部分解析
2023-08-19 18:26 作者:
数海遨游
0
人读过
|
我要投稿
感谢三位大佬提供的解析
试题评析:
试题答案:
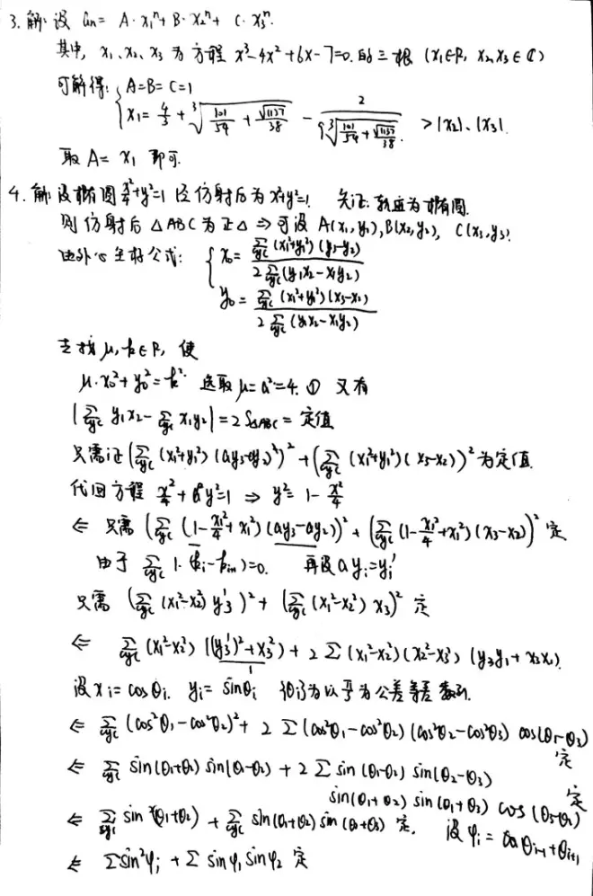
试题部分解析:
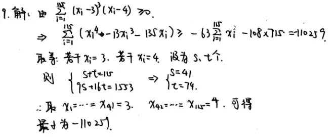
第11题:
标签:
我喜欢(
)
本文
作者的其他文章
第一届MAS数学竞赛初赛答案及部分解析的评论 (共
条)
分享到微博
请遵守国家法律
数海遨游
发短消息
关注TA
你可能也喜欢这些文章
博德之门3缺点吐槽
宝可梦
写给@Nighty刀8木 UID:28781322
劳动之歌(Lied der Arbeit)
绵阳游仙区忠兴镇#下水道疏通#厕所疏通#地漏疏通#厨房洗菜池#污水井疏通#抽化粪池
【新高二预习】一个视频搞懂“求直线”的所有方法!| 高中数学大合集
Undertale AU社区画廊#9:I11end篇(其四)
2024安徽三联学院专升本
张峻豪x你《晴天》13
上海亚宠展也太好玩了!长见识了
最新发布的文章
农发行河津市支行做好年终决算工作
农发行河津市支行持续加强反洗钱工作管理
农发行河津市支行扎实做好安保工作
农发行河津市支行组织开展宪法主题宣传活动
农发行河津市支行开展"挺膺担当,强国复兴"主题团日活动
年终总结2023,布局2024,挑一个目标置顶一整年!
12月20日维护结束,冰雪嘉年华开启!
2023扫文—高热不止 by 黄昏密度
Dive 55 工作的平衡
时尚 | 时尚趋势是如何做出来的?
三星 Galaxy S24 Ultra,HP2SX两亿像素主摄,骁龙8Gen3超频版,钛合金机身,类2K直屏
重庆TOP DECK超牌12月16日游戏王OCG积分赛环境战报
致命公司多人联机mod,汉化游戏下载使用安装教学!
致命公司多人mod,超全MOD模组管理器
战网下载卡在45%登录失败提示2045报错/战网一键下载注册教程!