OPSS-PEG-COOH MW:2000/邻二硫吡啶聚乙二醇羧基
OPSS-PEG-COOH邻二硫吡啶聚乙二醇羧基
外观:固体或液体,取决于分子量大小。
PEG可选分子量: 1000,2000,3400,5000,10000
溶解度: 溶于DMSO,DMF,DCM,溶于水。
纯度:>95%
保存:-20℃,长期保存,避光,干燥
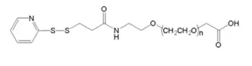
产品描述:Ortho-pyridyl disulfide (OPSS) functionalized polyethylene glycol (OPSS PEG) is a thiol (-SH) group reactive PEG derivative that can be used to modify biomolecules or other materials via their available thiol groups. Ortho-pyridyl disulfide reacts with thiol group to form a stable disulfide bond while a thiol pyridyl group is released.
结构式:

供应商:杭州新乔生物科技有限公司
杭州新乔生物科技有限公司是国内的PEG衍生试剂供应商,我公司可以提供各种高分子PEG衍生物,分子量从1000-20000不等,涉及甲氧基PEG|氨基PEG|羧基PEG|巯基PEG|叠氮PEG|八臂PEG|四臂PEG|活性酯PEG |马来酰亚胺PEG|荧光素PEG|罗丹明PEG|丙烯酸酯PEG|磷脂PEG|琥珀酰亚胺PEG|炔基PEG|羟基PEG|硅烷PEG等基团,同时我公司新推出了单分散的小分子量PEG/PEO衍生物,PEG/PEO的重复单元从2个-24个不等,产品纯度高达98%以上。
OPSS-PEG-NHS 邻二硫吡啶聚乙二醇活性脂
OPSS-PEG-OPSS邻二硫吡啶聚乙二醇邻二硫吡啶
OPSS-PEG-SVA邻二硫吡啶-聚乙二醇-琥珀酰亚胺戊酸酯
OPSS-PEG-NH2邻二硫吡啶聚乙二醇氨基
OPSS-PEG-COOH邻二硫吡啶聚乙二醇羧基
OPSS-PEG-Biotin邻二硫吡啶聚乙二醇生物素
OPSS-PEG-OH邻二硫吡啶聚乙二醇羟基
OPSS-PEG-Silane邻二硫吡啶聚乙二醇硅烷