大学高等数学公式大全(珍藏版)

大学高等数学公式大全
01
导数公式

021
基本积分表

031
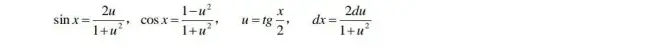
三角函数的有理式积分

041
一些初等函数及极限

0501
三角函数公式


0601
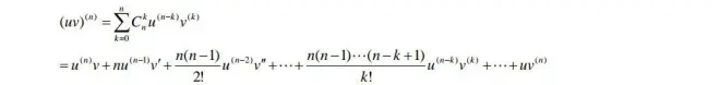
高阶导数公式——莱布尼茨公式

07
中值定理与导数应用

08
曲率

09
定积分的近似计算

10
定积分应用相关公式

11
空间解析几何和向量代数


12
多元函数微分法及应用


1301
方向导数与梯度

14
多元函数的极值及其求法

1501
重积分及其应用

16
柱面坐标和球面坐标

17
曲线积分



1801
曲面积分

1901
高斯公式

2001
斯托克斯公式——曲线积分与曲面积分的关系

2101
常数项级数

2201
级数审敛法

23
绝对收敛与条件收敛

24
幂级数

2501
函数展开成幂级数

26
一些函数展开成幂级数

2701
欧拉公式

28
三角级数

29
傅里叶级数


30
微分方程





本文使用 文章同步助手 同步