欢迎光临散文网
会员登陆 & 注册
手机站
首页
散文
诗歌
杂文
随笔
日记
小小说
散文网
»
笔记
»
全部笔记
» 这道题,第一次做必错,号称新手杀手!
这道题,第一次做必错,号称新手杀手!
2023-06-10 10:05 作者:
国际贫困大赛代言人
0
人读过
|
我要投稿
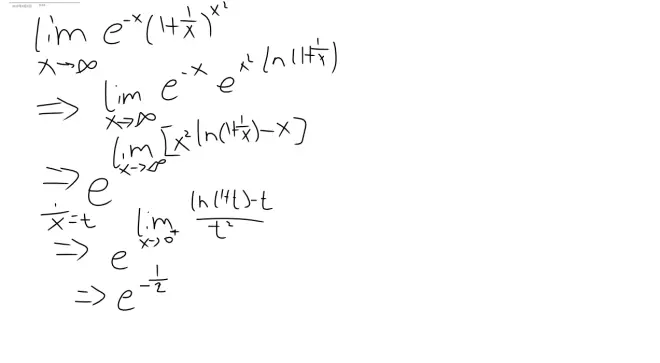
考研竞赛凯哥每日一题第五次打卡
标签:
我喜欢(
)
本文
作者的其他文章
这道题,第一次做必错,号称新手杀手!的评论 (共
条)
分享到微博
请遵守国家法律
国际贫困大赛代言人
发短消息
关注TA
你可能也喜欢这些文章
臭猫全损音质
第一遍读《亲密关系》的收获
为干涉台海制造借口,台日军事勾结已成必然,为何撤侨成焦点?
金华零基础平面设计培训_学习哪里好
铸件板式喂料机传动链条输送机不宜变形
2023年长春市成人高考本科报考电话(新办法)
血液
红旗H5卡孚改色膜白金龙血红,融入液态金属独有的色彩视觉
【华中师范大学】走近大诗人(陶渊明|李白|杜甫|合75讲)戴建业
北京青年报王岚家北京电视台
最新发布的文章
农发行河津市支行做好年终决算工作
农发行河津市支行持续加强反洗钱工作管理
农发行河津市支行扎实做好安保工作
农发行河津市支行组织开展宪法主题宣传活动
农发行河津市支行开展"挺膺担当,强国复兴"主题团日活动
年终总结2023,布局2024,挑一个目标置顶一整年!
12月20日维护结束,冰雪嘉年华开启!
2023扫文—高热不止 by 黄昏密度
Dive 55 工作的平衡
时尚 | 时尚趋势是如何做出来的?
三星 Galaxy S24 Ultra,HP2SX两亿像素主摄,骁龙8Gen3超频版,钛合金机身,类2K直屏
重庆TOP DECK超牌12月16日游戏王OCG积分赛环境战报
致命公司多人联机mod,汉化游戏下载使用安装教学!
致命公司多人mod,超全MOD模组管理器
战网下载卡在45%登录失败提示2045报错/战网一键下载注册教程!