3.4 宇宙粒子产生
对于前几节的内柔我们做一个简单的总结并给出一个粒子产生的例子。考虑一个时空中具有Minkovski in 和 out 区域,作为一个最简单的例子。考虑2-维Robertson-Walker宇宙,它的线元是:

做一个参数变换:

然后得到线元为:

容易看出这个时空是Minkovski时空的保型变换。
假设:

在遥远的过去和未来就会变为Minkovski时空,

如下图所示:

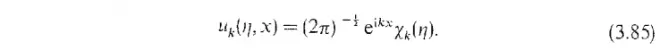
考虑最小耦合(注意这里最小耦合和共性耦合是一样的),因为是2-维的时空。并且假设标量模式场函数(3.30):

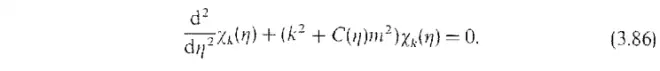
将这个解带入到场方程中,并且结合(3.83)式,我们会得到一个过于\eta的函数,并且是X的方程:

我们可以解出这个函数,得到在遥远的过去:

在遥远的未来:

可以看出在in和out区域,这两个模式的解是不同的。
据此我们可以计算出Bogoliubov变换的系数:

根据之前我们计算Bogoliubov系数的过程可以得到:

我们对这个结果做一个物理的解释,首先在遥远的过去惯性探测器不会探测到任何粒子,因为时空中定义在Minkovski时空的真空态。而在遥远的未来他们定义的真空是不同的,所以在遥远未来观测者会观测到粒子。这个粒子的出现我们可以解释为宇宙膨胀的结果。