欢迎光临散文网
会员登陆 & 注册
手机站
首页
散文
诗歌
杂文
随笔
日记
小小说
散文网
»
笔记
»
全部笔记
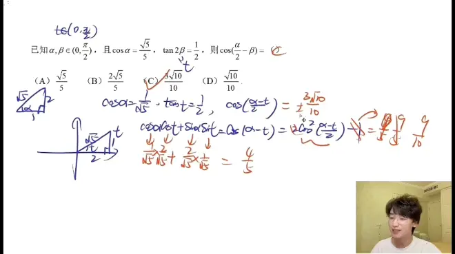
» 三角恒等变换,三大思想搞定!【高考复习】小姚老师
三角恒等变换,三大思想搞定!【高考复习】小姚老师
2023-07-23 16:22 作者:
一定要成为高阶INTJ
0
人读过
|
我要投稿
统一!!
数形结合,范围,熟记公式
多角度 观察换元
15:40
次数统一
万能公式
同时统一,不要添油加醋
综合
标签:
我喜欢(
)
本文
作者的其他文章
三角恒等变换,三大思想搞定!【高考复习】小姚老师的评论 (共
条)
分享到微博
请遵守国家法律
一定要成为高阶INTJ
发短消息
关注TA
你可能也喜欢这些文章
加盟舌尖趣休闲零食加盟店利润大不大
员工写了个比删库更可怕的 Bug。。
育碧《飙酷车神轰鸣盛典》发售!uplay连接不上服务器解决方法
让郭富城忘怀,李克勤深爱的周慧敏,20年婚姻中原谅丈夫8次出轨
感谢白姥爷和大老师为我们带来暴太郎战队
淡斑美白产品排行榜10强,不得不说国家认证的美白祛斑产品就是好
正相色谱柱洗脱顺序的微观原理讨论
延误列车异世界情绪翻唱曲绘描改,不会画透视的痛
广州金媒人一对一服务的专业,体现在哪些方面?
剧本杀【闹剧】复盘解析+谁是凶手+真相答案+手法动机
最新发布的文章
农发行河津市支行做好年终决算工作
农发行河津市支行持续加强反洗钱工作管理
农发行河津市支行扎实做好安保工作
农发行河津市支行组织开展宪法主题宣传活动
农发行河津市支行开展"挺膺担当,强国复兴"主题团日活动
年终总结2023,布局2024,挑一个目标置顶一整年!
12月20日维护结束,冰雪嘉年华开启!
2023扫文—高热不止 by 黄昏密度
Dive 55 工作的平衡
时尚 | 时尚趋势是如何做出来的?
三星 Galaxy S24 Ultra,HP2SX两亿像素主摄,骁龙8Gen3超频版,钛合金机身,类2K直屏
重庆TOP DECK超牌12月16日游戏王OCG积分赛环境战报
致命公司多人联机mod,汉化游戏下载使用安装教学!
致命公司多人mod,超全MOD模组管理器
战网下载卡在45%登录失败提示2045报错/战网一键下载注册教程!