欢迎光临散文网
会员登陆 & 注册
手机站
首页
散文
诗歌
杂文
随笔
日记
小小说
散文网
»
笔记
»
全部笔记
» 【高中数学基础全集】或许是高中最值得收藏的合集!奥数保送生主讲|2020新教材(
【高中数学基础全集】或许是高中最值得收藏的合集!奥数保送生主讲|2020新教材(
2023-08-08 19:58 作者:
smollread
0
人读过
|
我要投稿
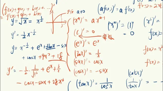
导数【辞典】2常见函数的导数 P191 - 14:15
这页公式要背
标签:
我喜欢(
)
本文
作者的其他文章
【高中数学基础全集】或许是高中最值得收藏的合集!奥数保送生主讲|2020新教材(的评论 (共
条)
分享到微博
请遵守国家法律
smollread
发短消息
关注TA
你可能也喜欢这些文章
京哈线新城子站和谐电3D0677牵引直达特快旅客列车Z518次(吉林-上海)通过
美国大尺度重口味剧集《真爱不死》:丧尸与喜剧的完美融合
【K-Pop】华附体艺节|高中生翻跳PTT(Paint The Town)-本月
搞钱之前一定要先做这些事
啊?初见鸟了???
第一视角 凯迪拉克lyriq锐歌四驱版深度体验 40万价位内非常棒的整体舒...
《蔚蓝档案》手游新手最强攻略!!2023最新兑换码分享(内含隐藏兑换码分享)
课程分享 乔杉不是乔杉 角色概念设计基础班
亲民定位,简约时尚,漫步者X1真无线蓝牙耳机
【病娇丨禁忌】喜欢我的不是她而是她妈【08】
最新发布的文章
农发行河津市支行做好年终决算工作
农发行河津市支行持续加强反洗钱工作管理
农发行河津市支行扎实做好安保工作
农发行河津市支行组织开展宪法主题宣传活动
农发行河津市支行开展"挺膺担当,强国复兴"主题团日活动
年终总结2023,布局2024,挑一个目标置顶一整年!
12月20日维护结束,冰雪嘉年华开启!
2023扫文—高热不止 by 黄昏密度
Dive 55 工作的平衡
时尚 | 时尚趋势是如何做出来的?
三星 Galaxy S24 Ultra,HP2SX两亿像素主摄,骁龙8Gen3超频版,钛合金机身,类2K直屏
重庆TOP DECK超牌12月16日游戏王OCG积分赛环境战报
致命公司多人联机mod,汉化游戏下载使用安装教学!
致命公司多人mod,超全MOD模组管理器
战网下载卡在45%登录失败提示2045报错/战网一键下载注册教程!