欢迎光临散文网 会员登陆 & 注册

第一章 d3

2023-08-18 19:47 作者:月笠丶  | 我要投稿

泰勒展开式:

第一类间断点(可去&跳跃):

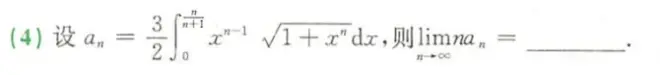
开n次根号最大值:

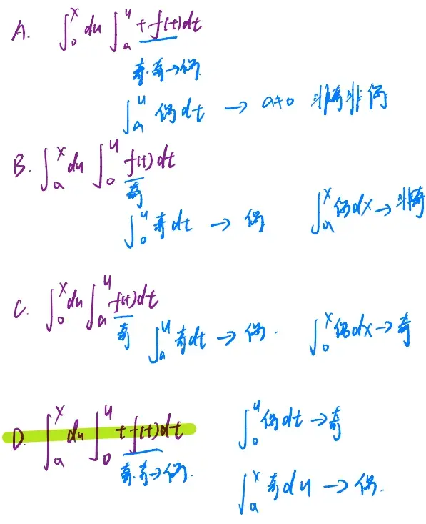
奇函数原函数一定是偶函数,偶函数原函数不一定为奇函数(除非c=0):

可积原函数连续,连续原函数可导:

开区间有界性判定:

凑微分:

lnx和ex的计算:


第一章 d3的评论 (共 条)

分享到微博请遵守国家法律