如何申请亚马逊气候承诺友好认证

亚马逊气候承诺友好认证(Climate Pledge Friendly)是亚马逊为帮助终端买家轻松发现和购买更具可持续性的产品,以尽可能地消除碳排放并抵消任何剩余的碳排放以实现其目标,实现可持续性产品的改进的一项认证计划。简单地说:减少碳排放,或最小化碳足迹,可以减少使地球变暖的温室气体的数量。
当买家搜索亚马逊产品看到这个气候友好承诺标签时,表明该产品具有 44 种(截止2022年)不同的可持续性认证中的一种或多种,获得该标签也意味着会有更多的流量扶持和曝光,增强买家购买倾向。
亚马逊与广泛的外部认证合作,包括政府机构、非营利组织和独立实验室,以帮助亚马逊区分更具可持续性的产品。亚马逊专注于信誉良好、透明且专注于保护自然世界的认证。亚马逊将定期评估和重新评估认证环境,以确保亚马逊包括最好的合作伙伴,以帮助您购买更具可持续性的产品。
亚马逊还创建了两个亚马逊自己的认证:Compact by Design和Pre-owned Certified。今天让我们来看看如何申请亚马逊气候承诺友好认证(Climate Pledge Friendly)-- Compact by Design认证。
Compact by Design:

Compact by Design产品虽然看起来并不总是非常不同,但具有更高效的设计。随着多余的空气和水的去除,产品需要更少的包装并且运输效率更高。在规模上,产品尺寸和重量的这些微小差异导致碳排放量显着减少。
怎么知道一个产品是更有效的?看以下几个例子:

更少的包装
许多产品的设计都是为了在商店货架上脱颖而出。在线产品不需要醒目的包装,Compact by Design 已经确定了没有这种多余包装的产品。

容器中的空气更少
一些 Compact by Design 产品的空气较少,这意味着包装较少。您可以在较小的容器中获得相同数量的产品。

更高效的形状
Compact by Design 强调产品的形状允许它们在最小化立方英寸的同时提供相同数量的产品。

减轻重量
虽然两个容器可以容纳相同的体积,但更轻的包装材料可以提高产品的运输效率。

无水技术
产品可以以令人兴奋的新方式进行改造。一个例子是转化为固体的水基产品。这大大减小了产品尺寸和重量。

浓缩产品
Compact by Design 产品比同类产品更集中。浓缩清洁剂在家中稀释后可以制成许多加仑的清洁液。
如何使产品符合 Compact by Design 的要求::
要获得紧凑型设计资格,产品必须具有一流的“单位效率”。我们使用商品包装尺寸、商品重量和单位数量等产品属性来计算产品的单位效率。单位定义为我们正在评估的容器中的产品总量。这是跨产品类别的标准化,例如清洁剂中的液体盎司、洗衣粉中的负载量和咖啡中的盎司。
单位效率计算为(每单位立方体积)x(每单位重量)。该指标使我们能够计算产品交付单位数量的体积和重量利用率。在这个等式中,较低的单位效率值意味着更高效的设计。例如,与非浓缩洗涤剂相比,浓缩洗衣粉可以以更小的体积和重量提供相同数量的单位(负载),从而提高单位效率。
为了设置阈值,我们计算了产品类别中各个项目的单位效率。我们设置这些阈值是为了识别每个产品类别中最高效的产品。单位效率高于类别阈值的产品符合紧凑型设计的条件,并成为气候友好承诺的一部分。

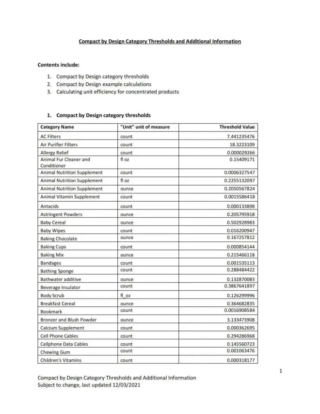
查看类别阈值 :





左右滑动查看更多


如何在亚马逊卖家后台提交符合条件的 ASIN:
1、点击卖家中心主页上的“Help”;

2、在“联系我们”页面上选择“Selling on Amazon”;

3、选择“Products and Inventory”主题下方的“Climate Pledge Friendly”;

4、在文本框中将您的问题提交给卖家支持。附加此产品模板(使用您的 ASIN 完成)。
