欢迎光临散文网
会员登陆 & 注册
手机站
首页
散文
诗歌
杂文
随笔
日记
小小说
散文网
»
科技
»
学习
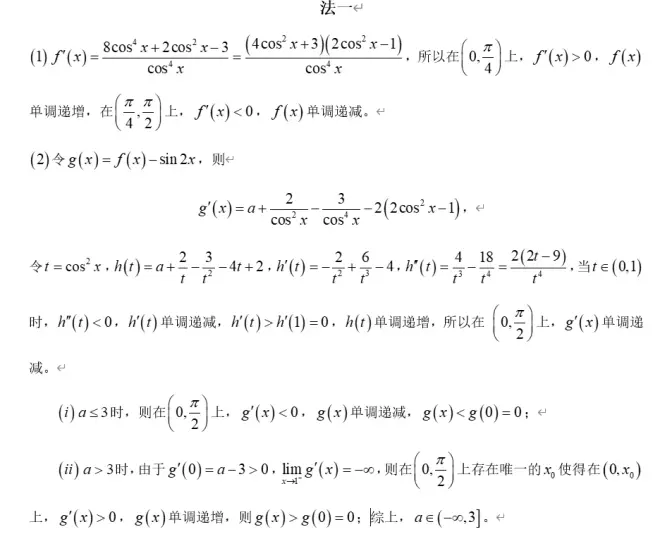
» 高考数学2023全国甲卷第21题导数
高考数学2023全国甲卷第21题导数
2023-06-23 17:05 作者:
逆熵尽头
0
人读过
|
我要投稿
标签:
导数
高考数学
高中数学
我喜欢(
)
本文
作者的其他文章
高考数学2023全国甲卷第21题导数的评论 (共
条)
分享到微博
请遵守国家法律
逆熵尽头
发短消息
关注TA
你可能也喜欢这些文章
中英文CV撰写
星盘中日与月之间形成的合、拱、刑、冲四种状态,各有什么特点
“暴风阴影”导弹袭击克里米亚充加尔大桥,此前俄警告乌用“暴风阴影”或“海马...
单管地热电站,是新能源颠覆式创新技术!投四千万建一座三年回本
6月23,一些好看的鳑鲏
探索PC仪表盘焊接技术的关键步骤
西安康宁心理医院:常常有失眠多梦,白天精神不济?用这4个办法对症治疗,好的快!
环氧地坪上面可以直接做硅PU材料吗?
暗区突围
Coldplay-Yellow伴奏 Coldplay-Yes伴奏 和声 彗星尾巴 夏之将死伴奏 Coldplay-You O
最新发布的文章
农发行河津市支行做好年终决算工作
农发行河津市支行持续加强反洗钱工作管理
农发行河津市支行扎实做好安保工作
农发行河津市支行组织开展宪法主题宣传活动
农发行河津市支行开展"挺膺担当,强国复兴"主题团日活动
年终总结2023,布局2024,挑一个目标置顶一整年!
12月20日维护结束,冰雪嘉年华开启!
2023扫文—高热不止 by 黄昏密度
Dive 55 工作的平衡
时尚 | 时尚趋势是如何做出来的?
三星 Galaxy S24 Ultra,HP2SX两亿像素主摄,骁龙8Gen3超频版,钛合金机身,类2K直屏
重庆TOP DECK超牌12月16日游戏王OCG积分赛环境战报
致命公司多人联机mod,汉化游戏下载使用安装教学!
致命公司多人mod,超全MOD模组管理器
战网下载卡在45%登录失败提示2045报错/战网一键下载注册教程!