欢迎光临散文网 会员登陆 & 注册

含参不等式与二次函数

2023-04-09 14:17 作者:红烧鸡hsj  | 我要投稿

一、解含参不等式

  1. 解一元一次含参不等式

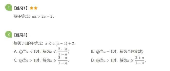
练习


2.解一元二次含参不等式


一元二次含参不等式的解法:


第一步:  (化标准)  


第二步:  (因式分解)  


第三步:  (求根)  


第四步:利用口诀,根据不等号方向写出不等式的解.


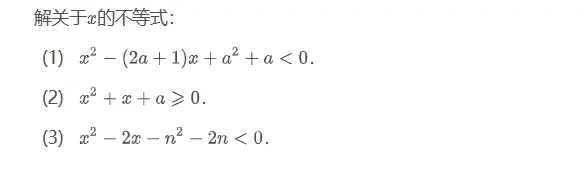
考点:解一元二次含参不等式


练习


二、二次函数


  1. 二次函数最值问题


二次函数问题
练习
练习
练习


2.二次函数恒成立与存在性问题


练习
练习


拓展:


2020年高考真题全国卷II理科第23题10分
2019年高考真题全国卷II理科第23题10分




含参不等式与二次函数的评论 (共 条)

分享到微博请遵守国家法律