供应链建模:库存压力指数的构建方式
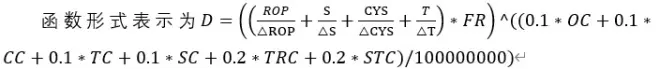
我们根据订货点、安全库存、循环库存、在途库存来评价库存对于销售市场的满足情况,根据产品满足率来评价运输的产品数量对实际情况的适应程度;根据订货成本、循环库存成本、在途库存成本、安全库存成本、运输成本和缺货成本来评价成本情况,并根据不同成本的重要程度设置不同的权重值,通过权重值表现不同种成本之间的权衡关系,最终根据以上参数定义一个可以评价库存优化策略的指标库存压力指数D。
下面说明一下参数设置:ROP表示订货点,△ROP表示订货点可以满足仓库需求的天数,S表示安全库存,△S表示安全库存可以满足库存需求的天数,CYS表示循环库存,△CYS表示循环库存可以满足库存需求的天数,T表示在途库存,△T表示在途库存可以满足库存需求的天数,OC表示订货成本,CC表示循环库存成本,TC表示在途库存成本,SC表示安全库存成本,TRC表示运输成本,STC表示缺货成本,FR为产品满足率。

注:最后的100000000为根据实际总成本动态调整的一个参数,不同案例中该参数需要具体调整!
根据上述公式计算库存压力指数D,而使用(T,S)战略会增加盘点周期,增加安全库存的储备量,库存压力指数经演算后会上升,故选择(R,Q)策略下的空运运输方式。


