高考数学通法逆袭全集|长期更新|竞赛国一保送生主讲|高考复习有这个就够了!
(随更,这里会把老师讲的稍微难一点的题截下来,感兴趣的同学可以再刷一刷)
(差P6)
平面向量:建系
【特殊图形和一般向量】
1, 找特殊点作为原点
找“朋友多”的一(两)个向量【已知(设出)长度】作为单位向量
(尽量放在x轴或y轴上,放不了的就算了)
2,通过别的点与他的关系想办法写出别点的坐标
3,直接代进题目已知
1------

2------
限制条件少的可以找特殊好算的图像
(eg三角形——直角三角形(贴着坐标系))
(eg等边三角形,菱形——对称画)


(小boss)

(计算前多看看,可化有规律)
补充
投影题——10

若图像中出现难求交点,看作系内两直线求交点—— -2/5

3------2倍根号5

(大boss)

————————————————————————————————————
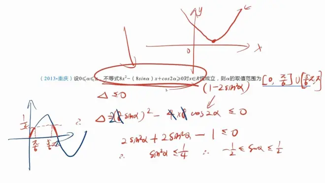
恒成立问题
1,参数分离
2,函数讨论(新令新求导)
1------【-6,-2】



2------


3------0(大boss)



————————————————————————————————————
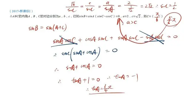
解三角形:
1------


2------



————————————————————————————————————
函数三大要素考点
求函数定义域:
1-------带参数


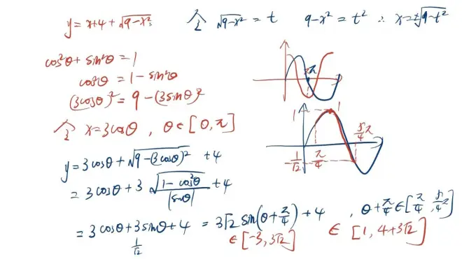
求值域:
一,换元法(注:新引进一个参数需注明其范围)
1------(蓝)

2------

3-----


——————————————————————————————————
三角函数——整体换元
1--------


2---------9(大boss)


——————————————————————————————————
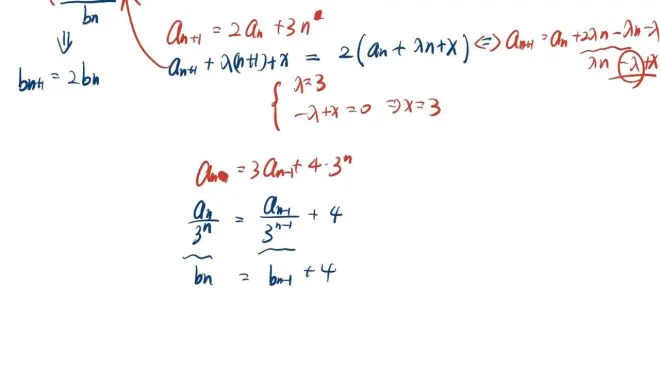
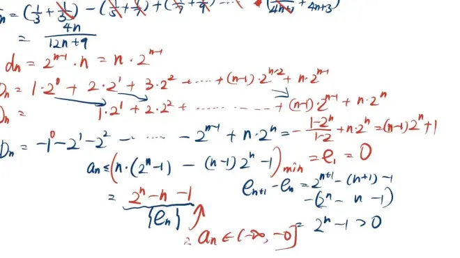
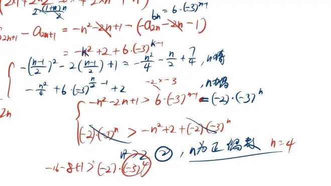
一般数列通项公式求解
待定系数法:


————————————————————


递归(分式)
(复杂看不出来的分式可能是周期数列)

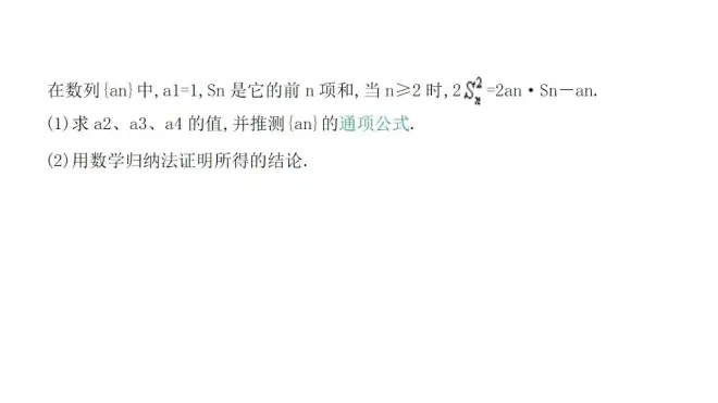
数学归纳法
1-------





裂项相消法

1-------


2---------(综合性强)



3----------(坑多,注意读题)(大boss)




——————————————————————————————————
基本不等式的使用方法
(直接)(补元)(换元)



——————————————————————————————————
线性规划题型★★★

