欢迎光临散文网
会员登陆 & 注册
手机站
首页
散文
诗歌
杂文
随笔
日记
小小说
散文网
»
科技
»
学习
» 2023国际数学奥林匹克第一天P1
2023国际数学奥林匹克第一天P1
2023-07-08 21:14 作者:
望锋wonfull
0
人读过
|
我要投稿
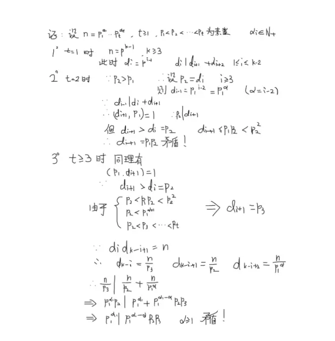
此题是一道比较简单的数论问题,只需考虑n的不同素因子之前的关系即可
标签:
我喜欢(
)
本文
作者的其他文章
2023国际数学奥林匹克第一天P1的评论 (共
条)
分享到微博
请遵守国家法律
望锋wonfull
发短消息
关注TA
你可能也喜欢这些文章
苏联对虎王的打靶记录
【中英双语】极恶老大第1季第8集:女王蜂(第一季大结局下)
Doinb瞒着观众做什么了?月播时长大幅下降,收入缩减一半少了50多万
比亚迪,新能源领军企业:中国的冠军,世界的冠军!
小硬盘穿上马甲居然不烧了
这是要跟宋死磕到底
「霜月凌空」自家世界观【1-16】
(限制级)变态爱上变态杀手!Netflix惊悚韩剧《命定之人》网盘资源
梅赛德斯周五,随着银石赛道的行动开始,团队感到困惑
【中英】lani pliopa*日常生活记录/买早餐/做饭/健身/化妆/分享
最新发布的文章
农发行河津市支行做好年终决算工作
农发行河津市支行持续加强反洗钱工作管理
农发行河津市支行扎实做好安保工作
农发行河津市支行组织开展宪法主题宣传活动
农发行河津市支行开展"挺膺担当,强国复兴"主题团日活动
年终总结2023,布局2024,挑一个目标置顶一整年!
12月20日维护结束,冰雪嘉年华开启!
2023扫文—高热不止 by 黄昏密度
Dive 55 工作的平衡
时尚 | 时尚趋势是如何做出来的?
三星 Galaxy S24 Ultra,HP2SX两亿像素主摄,骁龙8Gen3超频版,钛合金机身,类2K直屏
重庆TOP DECK超牌12月16日游戏王OCG积分赛环境战报
致命公司多人联机mod,汉化游戏下载使用安装教学!
致命公司多人mod,超全MOD模组管理器
战网下载卡在45%登录失败提示2045报错/战网一键下载注册教程!