欢迎光临散文网
会员登陆 & 注册
手机站
首页
散文
诗歌
杂文
随笔
日记
小小说
散文网
»
笔记
»
全部笔记
» 高中数学基础与解法全集(涵盖所有)|长期更新|从零开始拯救所有学渣!通俗易懂|高
高中数学基础与解法全集(涵盖所有)|长期更新|从零开始拯救所有学渣!通俗易懂|高
2023-08-17 18:28 作者:
B-ilmninarh
0
人读过
|
我要投稿
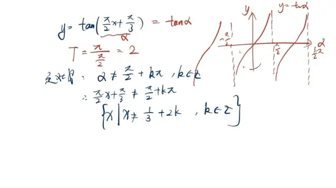
狄利克雷函数
奇函数定义域为相反数
标签:
我喜欢(
)
本文
作者的其他文章
高中数学基础与解法全集(涵盖所有)|长期更新|从零开始拯救所有学渣!通俗易懂|高的评论 (共
条)
分享到微博
请遵守国家法律
B-ilmninarh
发短消息
关注TA
你可能也喜欢这些文章
如何免费下载歌曲到电脑的2+2方法
长城汽车新能源销售网络年内将达1200家 以优质服务决胜新终端
半导体光学专用立轴圆台磨床铣磨机是否有可能精确磨削更深的部分?
崴脚后脚底外侧缘疼痛?可能是骰骨综合征
【战锤40K·钛帝国】LEX翻译:轨道步枪
[230816]「Fly with You!!」 启动仪式 ~Let's go 6th Live ~
【原神V4.0攻略】海洋书?总体量接近1小时,看来是减负过了
韩网热议!男班主任猥亵女学生并奸淫十几次被判有期徒刑4年!
烟台曙光医院超声炮避雷指南!让你不花冤枉钱!
厦门哪里可以修复闭口痘痘?厦门哪里可以改善敏感肌?蓁尤美是正规的吗?
最新发布的文章
农发行河津市支行做好年终决算工作
农发行河津市支行持续加强反洗钱工作管理
农发行河津市支行扎实做好安保工作
农发行河津市支行组织开展宪法主题宣传活动
农发行河津市支行开展"挺膺担当,强国复兴"主题团日活动
年终总结2023,布局2024,挑一个目标置顶一整年!
12月20日维护结束,冰雪嘉年华开启!
2023扫文—高热不止 by 黄昏密度
Dive 55 工作的平衡
时尚 | 时尚趋势是如何做出来的?
三星 Galaxy S24 Ultra,HP2SX两亿像素主摄,骁龙8Gen3超频版,钛合金机身,类2K直屏
重庆TOP DECK超牌12月16日游戏王OCG积分赛环境战报
致命公司多人联机mod,汉化游戏下载使用安装教学!
致命公司多人mod,超全MOD模组管理器
战网下载卡在45%登录失败提示2045报错/战网一键下载注册教程!