陕西新研博美1341215-17-5,用于科学实验研究
2023-06-12 17:08 作者:kxsw2023228 | 我要投稿
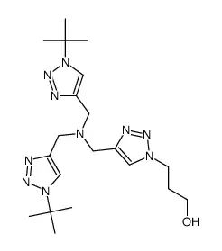
常用中文名:3-(4-((bis((1-tert-butyl-1H-1,2,3-triazol-4-yl)methyl)amino)methyl)-1H-1,2,3-triazol-1-yl)propan-1-ol
常用英文名:3-(4-((bis((1-tert-butyl-1H-1,2,3-triazol-4-yl)methyl)amino)methyl)-1H-1,2,3-triazol-1-yl)propan-1-ol
CAS号:1341215-17-5
分子式:C20H34N10O
分子量:430.55000
结构式:

BTTP是一种铜盐催化的“叠氮-炔基”生物正交反应的加速配体,也是反应速率***快的一类配体。同时它也是一种***毒性的配体,生物相容,甚至可以于胚胎的标记。
相关推荐:
Methyltetrazine-PEG4-azide
Biotin-PEG4-methyltetrazine
IC-MethylTetrazine
Py-Tetrazine-PEG1-Alkyne
Py-Tetrazine-Py-PEG1-Alkyne
Pyrimidine-Tetrazine-PEG1-Alkyne
Tetrazine-PEG5-NH-CH2CH2-4-Phenol
Me-Tetrazine-DBCO
Me-Tetrazine-PEG2-Me-Tetrazine
Cis-[Pt-1,3-Propanediamine]-2-Me-Tetrazine
MeTetrazine-PEG2-MeTetrazine
本篇图文信息均由陕西新研博美生物科技有限公司头头小编提供