欢迎光临散文网
会员登陆 & 注册
手机站
首页
散文
诗歌
杂文
随笔
日记
小小说
散文网
»
科技
»
学习
» 破解一道解析几何题(1)
破解一道解析几何题(1)
2023-03-26 13:45 作者:
qqq-qqq_
0
人读过
|
我要投稿
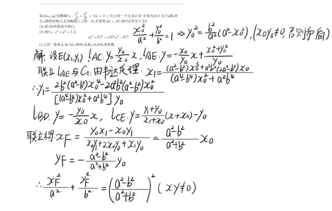
使用不联立手法这题可以更快解出;本文采取联立暴算手法:多元驱动,得到关系式后慢慢带入,带入的过程计算量较大,并涉及因式分解。
标签:
数学
高考
解析几何
计算力
一试
我喜欢(
)
本文
作者的其他文章
破解一道解析几何题(1)的评论 (共
条)
分享到微博
请遵守国家法律
qqq-qqq_
发短消息
关注TA
你可能也喜欢这些文章
校食记(第6周)
牙外伤要怎么处理(阜阳金阳光口腔-合肥美欧口腔总院)
中共中央关于调查研究的决定
第十三章 准备
文件批量重命名工具Rename Prov7.5
应运而生的中篇评弹
太中刀子(3)
你好
潜龙神彩 双色球23033期:前区邻号热度再起,蓝球2尾遗漏15期
视觉设计师,出不了爆款,怎么破?
最新发布的文章
农发行河津市支行做好年终决算工作
农发行河津市支行持续加强反洗钱工作管理
农发行河津市支行扎实做好安保工作
农发行河津市支行组织开展宪法主题宣传活动
农发行河津市支行开展"挺膺担当,强国复兴"主题团日活动
年终总结2023,布局2024,挑一个目标置顶一整年!
12月20日维护结束,冰雪嘉年华开启!
2023扫文—高热不止 by 黄昏密度
Dive 55 工作的平衡
时尚 | 时尚趋势是如何做出来的?
三星 Galaxy S24 Ultra,HP2SX两亿像素主摄,骁龙8Gen3超频版,钛合金机身,类2K直屏
重庆TOP DECK超牌12月16日游戏王OCG积分赛环境战报
致命公司多人联机mod,汉化游戏下载使用安装教学!
致命公司多人mod,超全MOD模组管理器
战网下载卡在45%登录失败提示2045报错/战网一键下载注册教程!