欢迎光临散文网
会员登陆 & 注册
手机站
首页
散文
诗歌
杂文
随笔
日记
小小说
散文网
»
生活
»
日常
» 《数学分析2》函数项级数 考前重点归纳
《数学分析2》函数项级数 考前重点归纳
2023-06-19 11:11 作者:
西部小开发1412
0
人读过
|
我要投稿
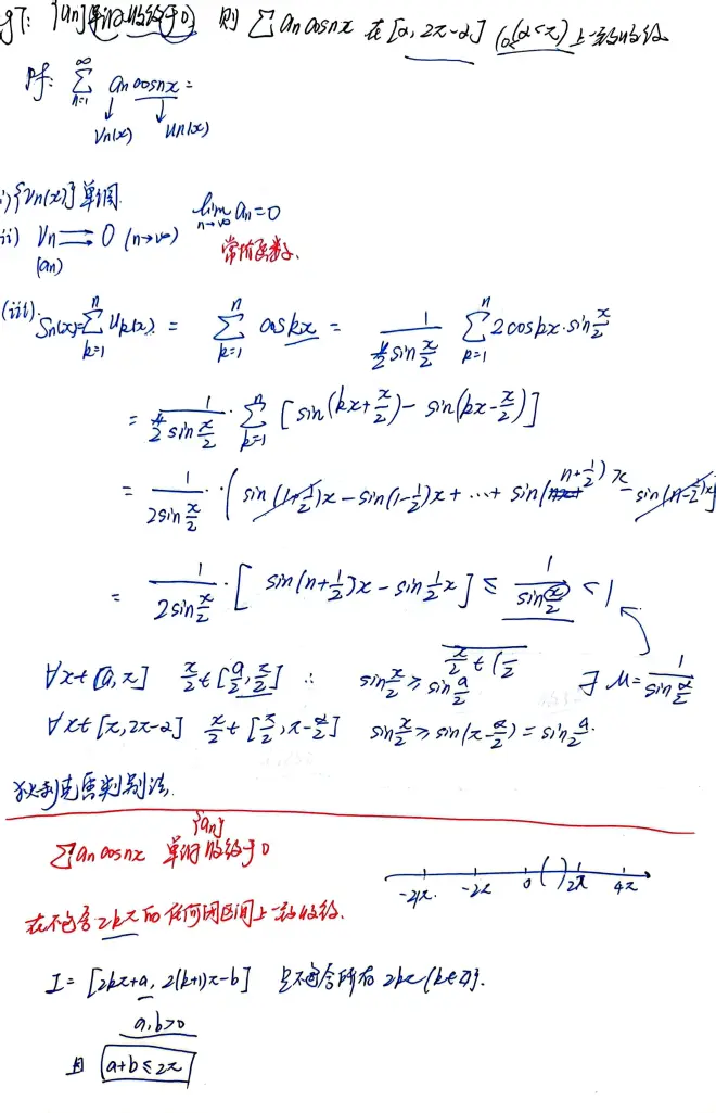
一、概念
二、判别法
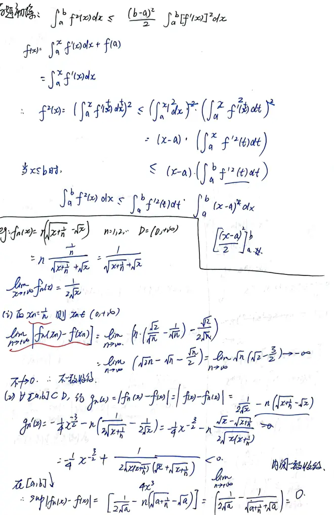
三、重点习题-应会
标签:
我喜欢(
)
本文
作者的其他文章
《数学分析2》函数项级数 考前重点归纳的评论 (共
条)
分享到微博
请遵守国家法律
西部小开发1412
发短消息
关注TA
你可能也喜欢这些文章
三相电源每千瓦电流是多少
曾志伟谈四大天王排名,黎明列最末?香港网友:纯属报私仇
冷兵刃物20230619期-拍摄欣赏CKF SIG西格绍尔
电梯IP五方对讲的功能与优势?|深圳梯云物联
从技术,生产,安装上看众有工业空调怎么样?
阳光型抑郁症的治疗方法
2023年环保工程行业发展现状及未来发展趋势预测
深圳惠州影视后期包装特效去哪里学
怎样享受税收优惠政策降低增值税和企业所得税?无票支出怎么办?
2023年宜昌应急管理厅特种操作证工种指南!
最新发布的文章
农发行河津市支行做好年终决算工作
农发行河津市支行持续加强反洗钱工作管理
农发行河津市支行扎实做好安保工作
农发行河津市支行组织开展宪法主题宣传活动
农发行河津市支行开展"挺膺担当,强国复兴"主题团日活动
年终总结2023,布局2024,挑一个目标置顶一整年!
12月20日维护结束,冰雪嘉年华开启!
2023扫文—高热不止 by 黄昏密度
Dive 55 工作的平衡
时尚 | 时尚趋势是如何做出来的?
三星 Galaxy S24 Ultra,HP2SX两亿像素主摄,骁龙8Gen3超频版,钛合金机身,类2K直屏
重庆TOP DECK超牌12月16日游戏王OCG积分赛环境战报
致命公司多人联机mod,汉化游戏下载使用安装教学!
致命公司多人mod,超全MOD模组管理器
战网下载卡在45%登录失败提示2045报错/战网一键下载注册教程!