欢迎光临散文网
会员登陆 & 注册
手机站
首页
散文
诗歌
杂文
随笔
日记
小小说
散文网
»
生活
»
日常
» 基于卓里奇《数学分析》的讲义 第三章 极限(上)
基于卓里奇《数学分析》的讲义 第三章 极限(上)
2023-04-09 22:12 作者:
诶嘿キ
0
人读过
|
我要投稿
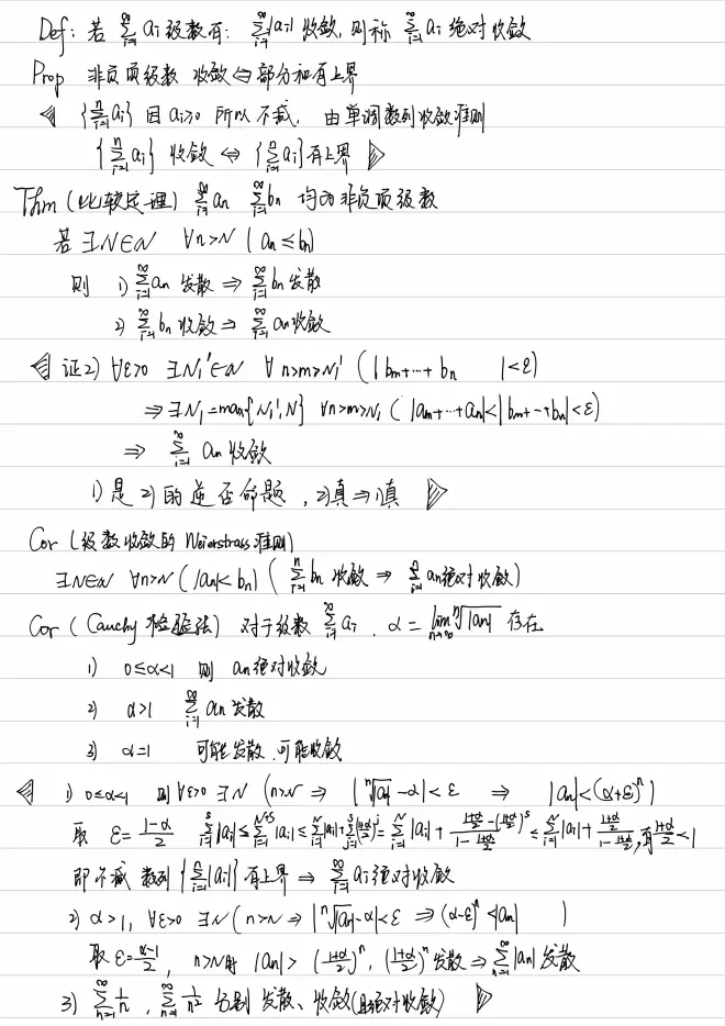
基于卓里奇《数学分析》的讲义(仅做笔者自学总结,并非真的讲义)。
第三章 极限(上)
数列极限的定义和基本性质,运算法则,和级数的一些内容
标签:
我喜欢(
)
本文
作者的其他文章
基于卓里奇《数学分析》的讲义 第三章 极限(上)的评论 (共
条)
分享到微博
请遵守国家法律
诶嘿キ
发短消息
关注TA
你可能也喜欢这些文章
博君一肖reaction 快来吃瓜/肖战王一博后援会百度一下/居然是......
【碧蓝档案/浦和花子/短篇同人文】奇迹的孤岛
【驯龙】当葛林魔和小嗝嗝互换身体后
黑木华否认与室毅交往:我明明只是回了自己家
弹性销制造商为大家介绍弹性圆柱销及其装配方法
#瓶邪#归矣十载 第五十七章 斗法
Altium Designer 23.1中文版软件下载安装教程
1.5代华裔在美国的一些小小的心里话
韩语学习 - 课文
尔英12700h itx 3060ti
最新发布的文章
农发行河津市支行做好年终决算工作
农发行河津市支行持续加强反洗钱工作管理
农发行河津市支行扎实做好安保工作
农发行河津市支行组织开展宪法主题宣传活动
农发行河津市支行开展"挺膺担当,强国复兴"主题团日活动
年终总结2023,布局2024,挑一个目标置顶一整年!
12月20日维护结束,冰雪嘉年华开启!
2023扫文—高热不止 by 黄昏密度
Dive 55 工作的平衡
时尚 | 时尚趋势是如何做出来的?
三星 Galaxy S24 Ultra,HP2SX两亿像素主摄,骁龙8Gen3超频版,钛合金机身,类2K直屏
重庆TOP DECK超牌12月16日游戏王OCG积分赛环境战报
致命公司多人联机mod,汉化游戏下载使用安装教学!
致命公司多人mod,超全MOD模组管理器
战网下载卡在45%登录失败提示2045报错/战网一键下载注册教程!