欢迎光临散文网
会员登陆 & 注册
手机站
首页
散文
诗歌
杂文
随笔
日记
小小说
散文网
»
生活
»
日常
» 《数学分析2》幂级数 考前重点归纳
《数学分析2》幂级数 考前重点归纳
2023-06-19 11:20 作者:
西部小开发1412
0
人读过
|
我要投稿
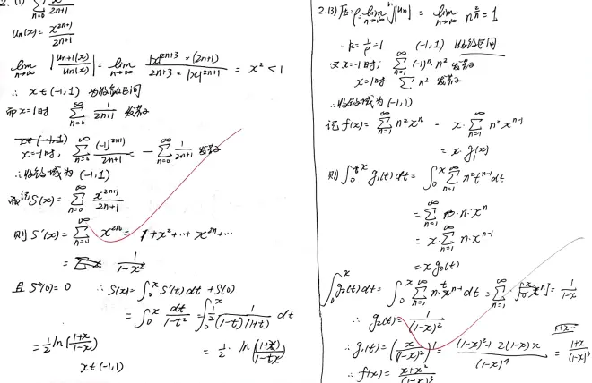
一、概念
二、幂级数展开
三、重点习题-应会
标签:
我喜欢(
)
本文
作者的其他文章
《数学分析2》幂级数 考前重点归纳的评论 (共
条)
分享到微博
请遵守国家法律
西部小开发1412
发短消息
关注TA
你可能也喜欢这些文章
控制器 51402497-200 PLC机床设备控制用
北京京和堂中医医院南继发主任:矮小症该如何治疗?
郑州哪个医院看胃病最专业-郑州医药科学研究院附属医院
【腘肌】解锁膝关节的重要肌肉!
Samplicity更新柏林工作室混响
【纯爱推文】小和尚,我……我喜欢你!
胡兵50万积分被东航清零维权引热议 双方已沟通和解
酒鬼酒股票历史交易 市场发展前景分析
2023年港口物流行业发展现状及未来发展趋势预测
2022-2001年上市公司企业供应商稳定度数据、 供应商关系稳定度数据
最新发布的文章
农发行河津市支行做好年终决算工作
农发行河津市支行持续加强反洗钱工作管理
农发行河津市支行扎实做好安保工作
农发行河津市支行组织开展宪法主题宣传活动
农发行河津市支行开展"挺膺担当,强国复兴"主题团日活动
年终总结2023,布局2024,挑一个目标置顶一整年!
12月20日维护结束,冰雪嘉年华开启!
2023扫文—高热不止 by 黄昏密度
Dive 55 工作的平衡
时尚 | 时尚趋势是如何做出来的?
三星 Galaxy S24 Ultra,HP2SX两亿像素主摄,骁龙8Gen3超频版,钛合金机身,类2K直屏
重庆TOP DECK超牌12月16日游戏王OCG积分赛环境战报
致命公司多人联机mod,汉化游戏下载使用安装教学!
致命公司多人mod,超全MOD模组管理器
战网下载卡在45%登录失败提示2045报错/战网一键下载注册教程!