7.LMD(局域均值分解)


LMD(Local Mean Decomposition,局域均值分解)是一种信号分解方法,它的基本思想是将复杂的信号分解成多个局域均值和局域高频信号。LMD是一种数据驱动的方法,它没有严格的数学推导,而是基于先验知识和经验分析,通过迭代计算得到结果。
LMD方法的主要步骤如下:
1. 首先,对原始信号进行局域平滑处理,得到一个局域均值函数。
2. 将原始信号减去局域均值函数,得到一个局域高频函数。
3. 对局域高频函数进行1步骤到2步骤的迭代,得到多个局域均值函数和局域高频函数。
4. 对最后得到的局域均值函数和局域高频函数进行线性组合,得到原始信号的分解结果。
LMD方法可以通过改变迭代次数和窗口长度等关键参数,适应不同的信号分解需求。并且,LMD不需要事先对信号做出任何假设,对保留信号的局部时频信息具有较好的效果。同时,LMD的计算效率较高,可对长时间序列进行快速分解。但LMD也存在一些不足之处,例如对较强的噪声敏感,对信号的分解结果依赖于关键参数的选择等。
原始信号的组成

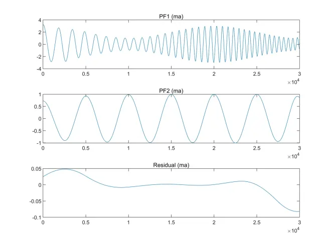
LMD分解的效果


具体代码见:https://mbd.pub/o/bread/mbd-ZJqYmJ1y

