学霸喜欢的三角换元法-普通人也能会!【决胜强基系列】
①三角换元(加号三角换元)
基础公式:sin^2+cos^2=1
(单位圆得出,x=coa,y=sin)
变形:a^2+b^2=(c)^2【a,b可为整式,可为未知数等等,利用配方知识得出类似式子】
a=c·cos
b=c·sin,再代入利用二倍角或半角公辅助角公式的一系列三角函数知识式求值

②(减号三角换元较麻烦)1/cos^2-tan^2=1是公式不常用

所以设后面x^2+y^2的三角换元

只要是齐次式大多可以用三角换元,灵活应用
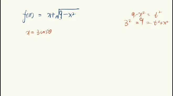
③题目不明显的三角换元

可以发现利用换元做本题过于麻烦,但将x2和t2放在一起又可以利用三角换元

④两个小知识点,a|sin(cos)|的取值问题,| |的值大于等于0,所以只需要让sin(cos)值大于等于0,那sin(cos)属于(0,2/π)


算到最后要估测sin()内的范围,判断

