欢迎光临散文网
会员登陆 & 注册
手机站
首页
散文
诗歌
杂文
随笔
日记
小小说
散文网
»
笔记
»
全部笔记
» 高中数学基础与解法全集(涵盖所有)|长期更新|从零开始拯救所有学渣!通俗易...
高中数学基础与解法全集(涵盖所有)|长期更新|从零开始拯救所有学渣!通俗易...
2023-07-11 00:25 作者:
林间ky
0
人读过
|
我要投稿
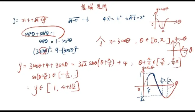
值域
——三角换元
——均值不等式
1.
2.对勾函数(秒了)
——数形结合(两点距离公式)
同一个点的坐标,4和2不想等,所以0写在前面
两点之间线段最短
标签:
我喜欢(
)
本文
作者的其他文章
高中数学基础与解法全集(涵盖所有)|长期更新|从零开始拯救所有学渣!通俗易...的评论 (共
条)
分享到微博
请遵守国家法律
林间ky
发短消息
关注TA
你可能也喜欢这些文章
茶卡盐湖旅行攻略(避坑版)
24法硕众合一本通4本+通关必刷2000题+法律法规汇编上下册+基础精讲+真题解读PDF电子版
2023年我们还能玩到啥?星空、幻景还是阿凡达
群友们的奇怪表情包(608)
DoggyQin 巨巨巨显瘦 洋甘花落/晕染印花连衣裙女夏季压褶碎花裙
Away歌词个人翻译及感想
我与上仙的日常
信息系统稳定性保障
为何说塞尔达是天?这款25周年纪念作给你答案
网易版我的世界如何获取水方块?
最新发布的文章
农发行河津市支行做好年终决算工作
农发行河津市支行持续加强反洗钱工作管理
农发行河津市支行扎实做好安保工作
农发行河津市支行组织开展宪法主题宣传活动
农发行河津市支行开展"挺膺担当,强国复兴"主题团日活动
年终总结2023,布局2024,挑一个目标置顶一整年!
12月20日维护结束,冰雪嘉年华开启!
2023扫文—高热不止 by 黄昏密度
Dive 55 工作的平衡
时尚 | 时尚趋势是如何做出来的?
三星 Galaxy S24 Ultra,HP2SX两亿像素主摄,骁龙8Gen3超频版,钛合金机身,类2K直屏
重庆TOP DECK超牌12月16日游戏王OCG积分赛环境战报
致命公司多人联机mod,汉化游戏下载使用安装教学!
致命公司多人mod,超全MOD模组管理器
战网下载卡在45%登录失败提示2045报错/战网一键下载注册教程!