欢迎光临散文网
会员登陆 & 注册
手机站
首页
散文
诗歌
杂文
随笔
日记
小小说
散文网
»
笔记
»
全部笔记
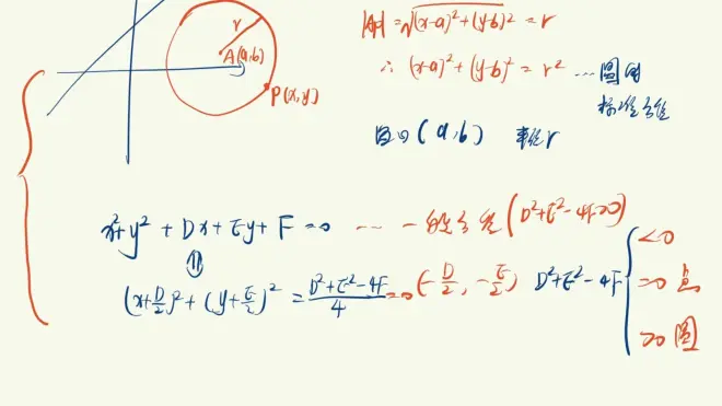
» 【高中数学基础全集】或许是高中最值得收藏的合集!奥数保送生主讲|2020新教材(
【高中数学基础全集】或许是高中最值得收藏的合集!奥数保送生主讲|2020新教材(
2023-07-01 11:54 作者:
Hasee董哥
0
人读过
|
我要投稿
标签:
我喜欢(
)
本文
作者的其他文章
【高中数学基础全集】或许是高中最值得收藏的合集!奥数保送生主讲|2020新教材(的评论 (共
条)
分享到微博
请遵守国家法律
Hasee董哥
发短消息
关注TA
你可能也喜欢这些文章
富贵包需要的注意事项
醉驾复议,合法诉讼驾驶证提前拿证不需要等五年
2023-07-01指数与个股操作思路
【字卡占卜】2023年下半年,有哪些值得你期待的好事?
《新闻文化建设》是什么级别的期刊?是核心期刊吗?版面费多少?
logo应该怎么设计?/宁波平面设计培训
最新混战互殴地图已更新
植酸
富贵包用什么方法消除
团伙招新日,恭迎尊贵的羊桑!
最新发布的文章
农发行河津市支行做好年终决算工作
农发行河津市支行持续加强反洗钱工作管理
农发行河津市支行扎实做好安保工作
农发行河津市支行组织开展宪法主题宣传活动
农发行河津市支行开展"挺膺担当,强国复兴"主题团日活动
年终总结2023,布局2024,挑一个目标置顶一整年!
12月20日维护结束,冰雪嘉年华开启!
2023扫文—高热不止 by 黄昏密度
Dive 55 工作的平衡
时尚 | 时尚趋势是如何做出来的?
三星 Galaxy S24 Ultra,HP2SX两亿像素主摄,骁龙8Gen3超频版,钛合金机身,类2K直屏
重庆TOP DECK超牌12月16日游戏王OCG积分赛环境战报
致命公司多人联机mod,汉化游戏下载使用安装教学!
致命公司多人mod,超全MOD模组管理器
战网下载卡在45%登录失败提示2045报错/战网一键下载注册教程!