欢迎光临散文网 会员登陆 & 注册

【开学即王者】新高一物理预科第二节:时间和位移

2023-07-27 18:06 作者:代名词为平凡的我  | 我要投稿

一,时刻与时间间隔

10点30 时刻(瞬间)→照片

5分钟 时间间隔(历经5分钟)→录像


1表示方法

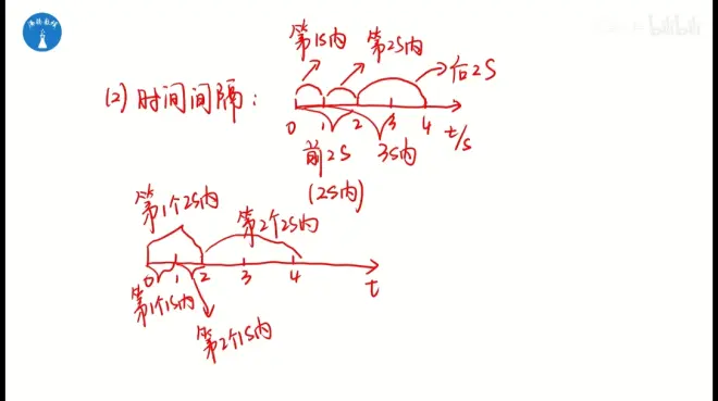
①时刻—— —— —— —— ——→

0 1 2 3 4

②时间间隔——————————→ t/s


第一秒内 第二秒内...

后两秒

前两秒 两秒内

前三秒 三秒内

————————————————→

第一个两秒内

二 坐标系

原点正方向单位长度

1直线运动————————Xm=2m





【开学即王者】新高一物理预科第二节:时间和位移的评论 (共 条)

分享到微博请遵守国家法律