蓝桥杯嵌入式第十届省赛客观题详解(2019)


具有 16 个可编程优先等级,使用 4 位中断优先级(4 组中断)。
选A

STM32G431并没有 mode 寄存器,不能回答本题;
对于 STM32F103 的 mode 寄存器:


A/D 转换器(ADC)将模拟量转换为数字量通常要经过四个步骤: 采样、保持、量化和编码 。
选D


根据手册可知,数据字节以小端格式存放在存储器中;

根据手册可知,DMA 通道优先级可通过编程控制,每次处理最高优先级的请求。
选ABCD

本题考查基本计算机组成原理知识,地址线一次确定一个存储单元,地址线上值可能取的所有组合确定了存储单元的个数,所以有:
存储单元的个数地址线的条数=2的n次方,计算得n=13。
选D


根据手册可知,每个通道都有 3 个事件标志:
DMA 半传输
DMA 传输完成
DMA 传输出错
选A


选D

选D

选BC

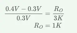
这是一个反向求和电路,带入公式计算即可:

选D