2024杨超考研数学考研数学三大计算+参考答案(完整版PDF下载)
资料名称:2024杨超考研数学考研数学三大计算.pdf
2024杨超考研数学考研数学三大计算参考答案.pdf
资料格式:PDF
资料科目:考研数学
下载地址:pan.quark.cn/s/d0f82ef18779
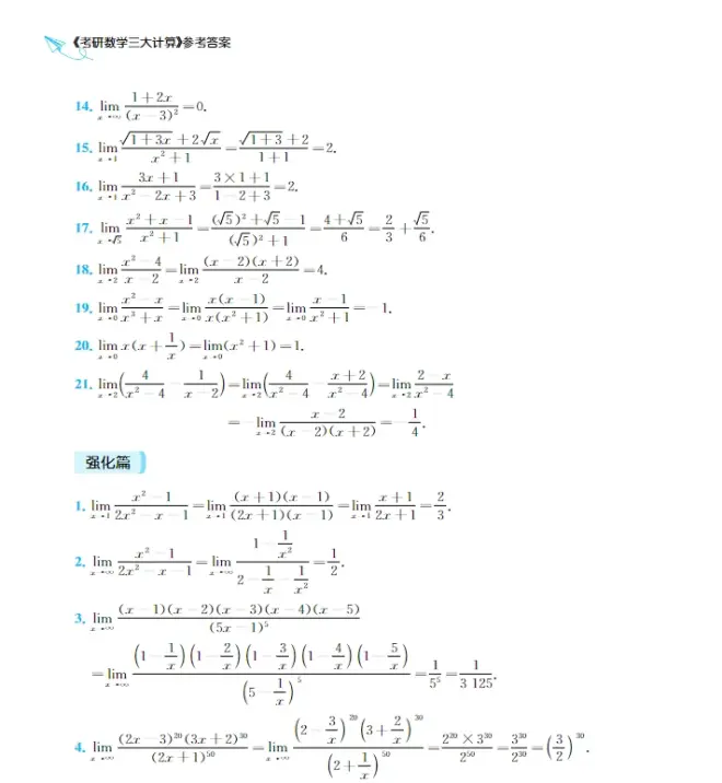
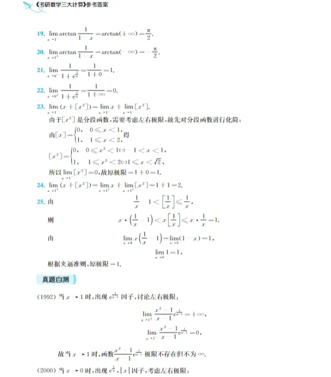
资料截图:








这本书一共169页,分为极限计算(60页)、导数计算(60页)、积分计算(50页),总得来说还是比较好做的。
极限部分(2天完成):这部分其实亮点不多,大部分同质化的题基本上在汤家凤高数讲义里都接触过,基本就是机械重复的计算,并且和1800的训练效果重复了,较为鸡肋
导数部分(3天完成):这部分个人觉得可以做一下,导数部分的题就是求导怎么恶心就怎么来〈尽量不要一次性做太多再对答案,很多答案挺丑的〉,对计算能力还是有一定提升的
积分部分(3天完成):这部分感觉还是可以用来前期巩固使用的,积分的计算是一个很重要的部分,这部分的计算能力确实需要打扎实,不过做题时有时候可能会遇到不同方法积出来答案不一样,但是答案是等价的,不管怎么样,只要方法没问题,答案也等价就行,不必过度纠结,阅卷时只要答案没算错都是对的(前提是这些答案等价哈)