欢迎光临散文网
会员登陆 & 注册
手机站
首页
散文
诗歌
杂文
随笔
日记
小小说
散文网
»
科技
»
学习
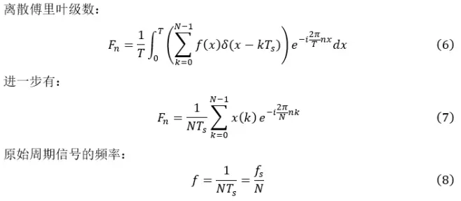
» 离散傅里叶变换
离散傅里叶变换
2023-03-27 13:40 作者:
xhy2023
0
人读过
|
我要投稿
标签:
我喜欢(
)
本文
作者的其他文章
离散傅里叶变换的评论 (共
条)
分享到微博
请遵守国家法律
xhy2023
发短消息
关注TA
你可能也喜欢这些文章
国乒直通赛大爆冷,世界冠军意外输球,竞争世乒赛门票已落入下风
长沙零之屋2023新品小零食3
定制透气隐形眼镜市场调研报告-主要企业、市场规模、份额及发展趋势
黑马博学谷狂野架构师VIP 直播课
动力电池激光焊接机
国产PCIe4.0固态硬盘普及,aigo P7000Z性能实测,2TB卷到白菜价
莫文蔚录制《声生不息宝岛季》,张杰、张信哲等人都跟她有合作
王锡良珐琅彩龙凤呈祥粉彩对杯
工厂车间从哪些方面选购工业吊扇
北科纳米人分享:SCI生物医学研究实验
最新发布的文章
农发行河津市支行做好年终决算工作
农发行河津市支行持续加强反洗钱工作管理
农发行河津市支行扎实做好安保工作
农发行河津市支行组织开展宪法主题宣传活动
农发行河津市支行开展"挺膺担当,强国复兴"主题团日活动
年终总结2023,布局2024,挑一个目标置顶一整年!
12月20日维护结束,冰雪嘉年华开启!
2023扫文—高热不止 by 黄昏密度
Dive 55 工作的平衡
时尚 | 时尚趋势是如何做出来的?
三星 Galaxy S24 Ultra,HP2SX两亿像素主摄,骁龙8Gen3超频版,钛合金机身,类2K直屏
重庆TOP DECK超牌12月16日游戏王OCG积分赛环境战报
致命公司多人联机mod,汉化游戏下载使用安装教学!
致命公司多人mod,超全MOD模组管理器
战网下载卡在45%登录失败提示2045报错/战网一键下载注册教程!