欢迎光临散文网
会员登陆 & 注册
手机站
首页
散文
诗歌
杂文
随笔
日记
小小说
散文网
»
笔记
»
全部笔记
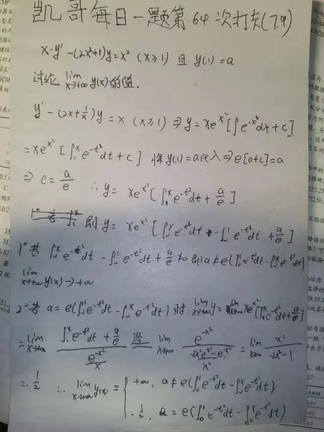
» 这道微分方程,简短但不简单,非常考验基本功!
这道微分方程,简短但不简单,非常考验基本功!
2023-07-09 22:40 作者:
25137278833_bili
0
人读过
|
我要投稿
凯哥每日一题第64次打卡
标签:
我喜欢(
)
本文
作者的其他文章
这道微分方程,简短但不简单,非常考验基本功!的评论 (共
条)
分享到微博
请遵守国家法律
25137278833_bili
发短消息
关注TA
你可能也喜欢这些文章
Heap of Foods模组介绍
第一天学习写毛笔字,请大家指点指点!
第46章 冠军争夺战,小智VS真司(上)
【地平线5】10亿CR!赠送萌新!助力每位梦想赛车手!【第三期】
[1.5:1] A320neo | 建筑教程
【原神】雪山探索度100%+全宝箱+绯红玉髓+同步收集路线!(成就:234...
2023.07-DL喜加一
脑叶公司【自编剧情】二
这年头还有人看弱音吗
浙江2023省考笔试第一行测经验分享
最新发布的文章
农发行河津市支行做好年终决算工作
农发行河津市支行持续加强反洗钱工作管理
农发行河津市支行扎实做好安保工作
农发行河津市支行组织开展宪法主题宣传活动
农发行河津市支行开展"挺膺担当,强国复兴"主题团日活动
年终总结2023,布局2024,挑一个目标置顶一整年!
12月20日维护结束,冰雪嘉年华开启!
2023扫文—高热不止 by 黄昏密度
Dive 55 工作的平衡
时尚 | 时尚趋势是如何做出来的?
三星 Galaxy S24 Ultra,HP2SX两亿像素主摄,骁龙8Gen3超频版,钛合金机身,类2K直屏
重庆TOP DECK超牌12月16日游戏王OCG积分赛环境战报
致命公司多人联机mod,汉化游戏下载使用安装教学!
致命公司多人mod,超全MOD模组管理器
战网下载卡在45%登录失败提示2045报错/战网一键下载注册教程!