组轨迹模型(GBTM)拟合、评价与正式结果报告
前期,我们介绍了组轨迹模型的基本原理,需要回顾的小伙伴看前期文章哦。
本期,我们来介绍一下组轨迹模型(GBTM)的拟合、评价与结果呈现,如何才能使我们的拟合效果兼顾统计学意义和专业可解释性,实现鱼与熊掌兼顾?上回说到,组轨迹模型是一种典型的事后分组方法,得到的轨迹组是基于数据驱动的统计“虚构”组,它更倾向于“完美”地呈现出数据特征而不一定可以获得“合理”的专业解释。因此,为了确定最佳的轨迹组数和轨迹形态我们需要拟合多个组轨迹模型,进一步通过比较不同模型的拟合指标和模型的专业解释性来选择最佳的模型。
今日正题:
目录:
一、初筛-不同模型统计学拟合指标比较
二、精筛-充分考虑模型专业可解释性
三、组轨迹模型内评价
四、对轨迹组的进一步分析
五、双组轨迹模型
一、初筛-不同模型统计学拟合指标比较
首先,我们要绘制总体的发展曲线,肉眼观察总体异质性(样本量比较多的时候往往难以区分,除非数据具有明显的分离特征),不过按照领导要求,咱们还是放上去。

然后,我们要借助组轨迹模型发现总体的异质性。做探索性的“广撒网”是组轨迹模型的第一步:①构建多个含有不同组(一般是2~6组)的组轨迹模型,每个模型分别拟合线性、平方和立方项等具体形式;②通过比较不同模型的BIC、△BIC、平均后验概率( Average posterior probability,AvepP)、每个轨迹组的比例(Proportions per class%)和相对熵值(Relative entropy,Ek)等拟合指标,得到统计学拟合效果还不错的初步模型;③在论文或附件中报告模型初筛表,即表1的形式;④确定初筛的结果。
比如对于表1,过对比模型的统计学拟合指标,我们认为2、3、4组轨迹模型都有较好的拟合效果。

注1:选取组轨迹模型时需尽量满足以下条件:
(1)每个组的平均后验概率(Avepp)大于0.7,
(2)每个类别的比例占比大于0.05,
(3)贝叶斯信息准则(BIC)接近0,
(4)复杂模型和简单模型之间的BIC差异(△BIC)越大,则越接受复杂模型,
(5)相对熵(Ek)大于0.8。
注2:“2_11”为轨迹组为2组,且每组轨迹分别为线性的组轨迹模型。
二、精筛-充分考虑模型专业可解释性
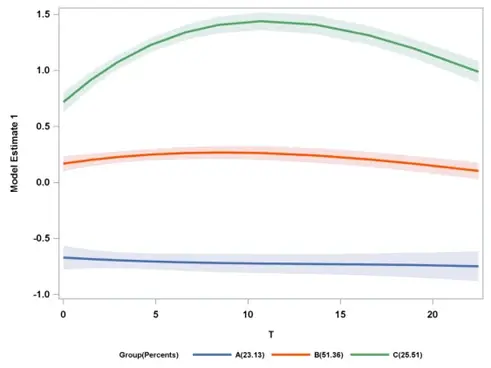
初筛完成后,我们要进行初筛模型的轨迹图绘制,通过轨迹图的轨迹形态结合专业解释性,我们选择最佳的模型。这时候是体现专业性作用的时候了,2组、3组还是4组,哪个模型更符合你专业,是分的更精细?还是最简约?哪个模型更好解释呢?小编这里根据自身专业选择了3-333轨迹模型。



在你选择了3-333轨迹模型后,要报告模型的参数估计结果,这也是你需要做的第2个表,当然如果参数无统计学意义,可以返回修正模型,例如3-333轨迹模型中第一组轨迹的Quadratic和Cubic是无意义的,则可以将模型进一步修正,转化为3-133(Quadratic和Cubic参数非常小,修正与不修正模型结果相差不大)。

三、组轨迹模型内评价
前面比较了不同轨迹模型间的拟合效果和专业可解释性,最终选择了3-333轨迹模型。,组轨迹模型内评价。Nagin老爷子在《Group-based modeling of development》这本书中还说到,需要进一步比较模型的适用性,通过模型内部的拟合指标OCC、分布密切程度来进一步验证所选择模型的最佳性。

注:良好的模型拟合度表现为:(1)每个组的正确分类优势(OCC)大于5,(2)组成员的后验概率(Pj)与实际组成员概率(πj)之间存在较好的一致性。

四、对轨迹组的进一步分析
得到轨迹组后,接下来就是利用轨迹组进行分析,可以将轨迹组作为因变量,分析轨迹组的影响因素;还可以将轨迹组作为自变量,分析不同轨迹对预后的影响,以上都是正常套路。更厉害的玩法是利用轨迹组预测,构建一个预测模型!这个我们后续慢慢念叨!
下面是进行的不同轨迹组的特征分析!

五、双组轨迹模型
如何快速实现组轨迹模型?
如何快速进行图表的制作?
下期更新,高效率进行组轨迹模型!!!
关注微信公众号,获取更多相关内容!

文字编辑:天涯二毛君
审稿:老陈