欢迎光临散文网
会员登陆 & 注册
手机站
首页
散文
诗歌
杂文
随笔
日记
小小说
散文网
»
笔记
»
全部笔记
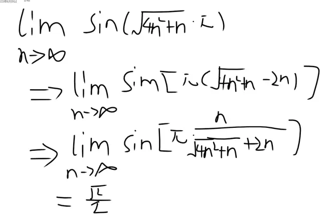
» 教你两招 ,彻底解决这类sin∞的数列极限!
教你两招 ,彻底解决这类sin∞的数列极限!
2023-06-11 09:40 作者:
国际贫困大赛代言人
0
人读过
|
我要投稿
凯哥每日一题打卡第六次
标签:
我喜欢(
)
本文
作者的其他文章
教你两招 ,彻底解决这类sin∞的数列极限!的评论 (共
条)
分享到微博
请遵守国家法律
国际贫困大赛代言人
发短消息
关注TA
你可能也喜欢这些文章
砂石分离机排名
艺术漆和艺术涂料的区别有哪些?
砂石分离机生产厂家
危机意识危中藏机顺趋势
砂石分离机多少钱
大数据云计算及人工智能的取代
疫情后遗症老百姓不好过
数字经济智慧赋能
要赚钱先让自己值钱
生产十六羰基六铑
最新发布的文章
农发行河津市支行做好年终决算工作
农发行河津市支行持续加强反洗钱工作管理
农发行河津市支行扎实做好安保工作
农发行河津市支行组织开展宪法主题宣传活动
农发行河津市支行开展"挺膺担当,强国复兴"主题团日活动
年终总结2023,布局2024,挑一个目标置顶一整年!
12月20日维护结束,冰雪嘉年华开启!
2023扫文—高热不止 by 黄昏密度
Dive 55 工作的平衡
时尚 | 时尚趋势是如何做出来的?
三星 Galaxy S24 Ultra,HP2SX两亿像素主摄,骁龙8Gen3超频版,钛合金机身,类2K直屏
重庆TOP DECK超牌12月16日游戏王OCG积分赛环境战报
致命公司多人联机mod,汉化游戏下载使用安装教学!
致命公司多人mod,超全MOD模组管理器
战网下载卡在45%登录失败提示2045报错/战网一键下载注册教程!