欢迎光临散文网 会员登陆 & 注册

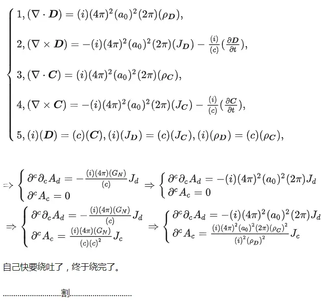
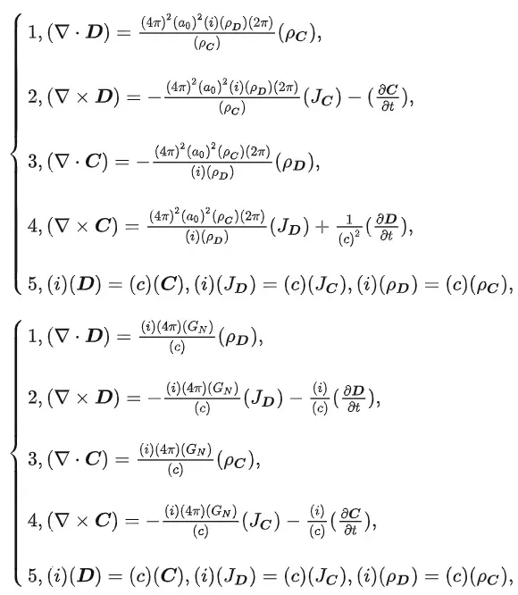
万有引力常数和电荷和“磁单极子”的联系(四续)

2023-03-16 22:39 作者:恍恍恍恍惚惚  | 我要投稿

万有引力常数和电荷和“磁单极子”的联系(四续)

(改正上篇及上上篇文章的部分错误)

(关于真空背景辐射温度和绝对零度以及理想气体常数的一些小脑洞)

万有引力常数和电荷和“磁单极子”的联系(三续)

。。。。。。待续。。。。。。。。

万有引力常数和电荷和“磁单极子”的联系(四续)的评论 (共 条)

分享到微博请遵守国家法律