红夷炮/红衣炮对明清城墙的毁伤能力
中西火炮发展方向不同的原因
在《从砲到炮》中,作者提出了和欧阳泰类似的看法,中国和欧洲在火炮领域的发展不同,有很大原因是因为二者的城墙材质不一样。


中国自古流行的就是夯土墙(为了避免雨水侵蚀以及敌军的挖掘,宋元时代逐渐开始外包砖石,明清时期大量的开始运用)而中世纪的欧洲流行的则是石墙,而硬脆亦破碎的石墙对于炮弹动能的吸收能力远不如夯土墙效果好。正如“炮能透砖木数重,而入土不过尺许”,十六世纪欧洲也发现了土墙在抵御火炮方面有奇效,于是在棱堡的砖墙前方加设了土堤护坡(防炮坡),既可以限制敌军火炮的射角,还能减少砖石墙面遭受火炮的直击。 与这类土堤有类似功效的东西,在明代称之为籧篨 根据《苍霞余草》卷一的记载,天启四年正月二日,福建巡抚南居益在金门亲自指挥军队收复澎湖岛。明水师由澎湖北端吉贝屿突入澎湖镇海港,为了抵挡荷兰军队的枪炮,明军用沙土填到竹筐中,以此来构筑简易工事“用竹囤实土为城,一夕而毕”。

江阴之战中清军炮兵也用过竹篮装泥土,以阻挡守军炮弹。 《江阴城守纪》 放炮者用竹栈包泥,而蔽伏其侧,俟炮发,放者即抹去炮中药矣,盛药再炮,连珠不绝。城上欲击放炮者,铁子遇竹篓软泥即止,不能伤。
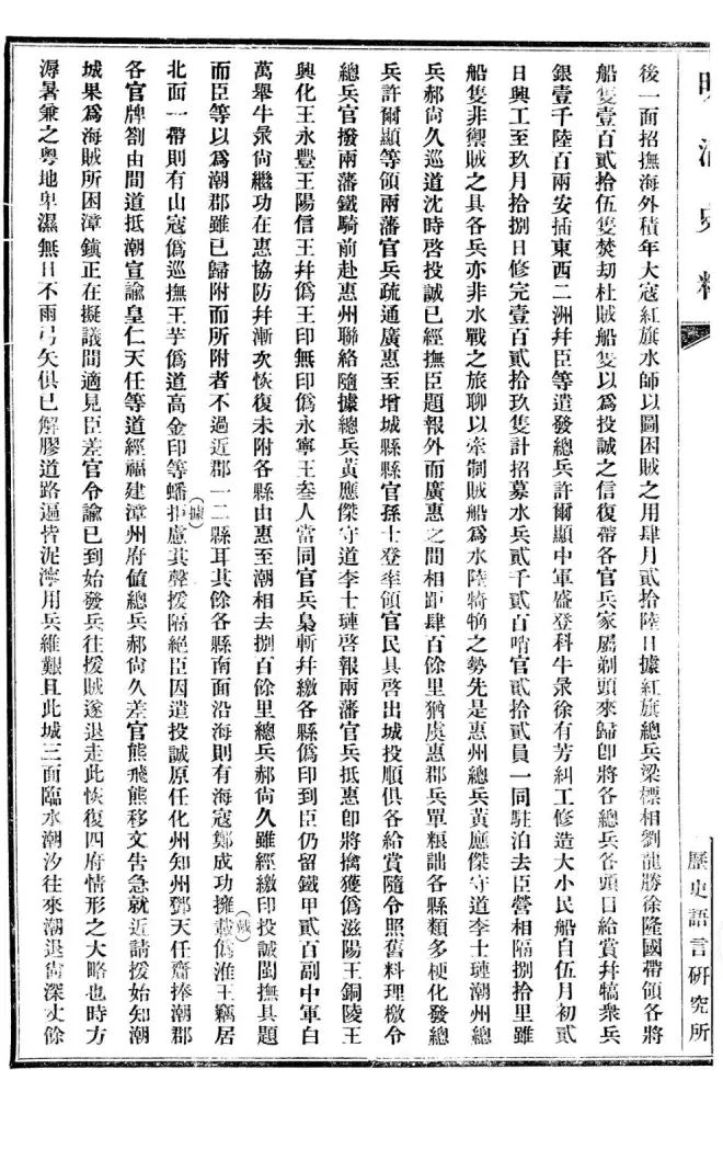
《闽颂汇编》中绘制的清初福建地方的篮堡火炮阵地

郑成功在攻打台湾的战争中多次“用竹囤实土为城”~“籧篨”(篮堡)来构建阵地,以此来抵御荷军火炮,并收获奇效。 《巴达维亚城日记》

美军现在依旧在使用类似功能的装备来构筑临时军营的围墙-艾斯科HESCO防爆墙。


在十五世纪,欧洲传统石墙大行其道之际,也正是巨炮横行惩威的时代。因为对于只需数发重型石弹就能摧垮石质要塞的巨炮,其发射效率过慢并不算什么太大的弊病。而随着十六世纪欧洲逐步对军事要塞的改进后,几吨到十几吨的巨炮的时代随之结束。

十六世纪,随着棱堡体系的建立,在防护火炮上有了更多的设计,例如降低城墙高度,以此来减少墙体的炮击面积,使之不容易被击中,在泥土堆积的主城墙正面用砖石修筑了扶墙,并用泥土堆积滑坡、护坡、壕沟,使得城墙的防御面积变得更宽厚更立体,松软的护坡土,可有效吸收实心炮弹的动能。

十六世纪,随着石质城堡的消失,棱堡体系的流行导致笨重且效率低下的短管巨型射石炮难以有效发挥攻城的效力,施展运输灵便的中大型长管加农炮便成为攻城炮战的主力,随之而来的便是炮弹的消耗量呈现指数型增长,通常一次攻城战,需要预备下几千上万枚的炮弹,城墙所承受的炮弹轰击也由十五世纪的个位数,增长到每天得承受数百上千发甚至几千发的轰击。


一个个小喇叭状的通道就是棱堡的火炮射击口,垛墙宽厚且低矮,由于棱堡的高度基本与壕沟外的护坡处在同一斜面上,而这个平缓的斜坡能够让敌军的火炮难以设置射击仰俯角。太近会被城墙上的火炮击中,远了则会被护坡挡住视野,发射的炮弹很大概率只能打中护坡。




英国德文郡公园的女王堡遗址(Queens Sconce)。构筑于十七世纪中叶的英国内战期间,土木结构的简易棱堡。

这样的棱堡,国内也有一处较为完好的,位于澳门半岛中心的柿山上大炮台棱堡(Fortaleza do Monte) 炮台由圣保禄学院的耶稣会会士于1617年开始修建,1622年6月,荷兰人进攻澳门,在劏狗环沙滩登陆的入侵者被罗神父从大炮台上施放火炮,荷军被两次猛烈炮火击退,虽然炮台在当时仍未完工,但已显示其对城市防卫的重要性。 大炮台透视示意图(来自澳门文化局介绍牌)

澳门棱堡炮台航拍俯视图

棱堡炮台直至1626年才正式完成。炮台呈不规则四边形,四个墙角外突成为棱堡,东北、西南及东南面墙身建基于3.7米宽的花岗石基础上,墙身以夯土砌建,并以蚝壳粉末作灰泥批荡,墙高约9米,可架设多达32门大炮,以防范来自此两方向之攻击。大炮台占地约1万平方米,形状呈不规则四边,边长约为100米。这座炮台为当时澳门防御系统的核心,构成一个覆盖东西海岸的宽大炮火防卫网。 1635年的大炮台(图片来源:《与历史同步的博物馆-大炮台》)

受葡萄牙国王菲利普三世的命令,波卡罗(António Bocarro)于1633至1635年完成了《东印度要塞和城镇》(Livro das Plantas de Todas as Fortalezas)。根据波卡罗在书中的描述,大炮台採用以下方式建成:一堵墙始于地基,宽20掌宽,石砌部份高出地面6掌宽,其上是夯土,用土和石灰构筑的夯土墙非常坚固结实,城裡的房屋都是这样建造。墙随山势上升而变狭窄,至高处的胸墙宽度收窄至15掌宽,墙体高50掌宽,相当于5布拉萨。 大炮台的夯土墙


1755年大炮台平面图(图片来源:《与历史同步的博物馆-大炮台》)

利用山丘地形修建的一处沃邦式棱堡体系

异曲同工之妙的日本山城,火炮再厉害也不可能把一座山丘轰平。(援朝明军在蔚山攻打不克的的岛山倭城也类似这种的要塞)除了高度差外,日式山城里蜿蜒曲折的道路,会拉长敌军的攻击里程,导致敌军即便攻入,也会遭遇到高处守军的层层阻击,而敌军则在城堡里疲于奔命。

中世纪的石墙厚度普遍不过两米,甚至更薄,而中世纪最为壮观且坚固君士坦丁堡,其石质外墙厚度也不过两米,内墙的厚度也只有四米。 君士坦丁堡遗迹



君士坦丁堡的剖面图,这类高大的石质塔楼就如同明朝在长城沿线上用砖石所构筑的空心敌台,这种没有缓冲的刚性结构很容易被火炮摧毁。

1453年,奥斯曼投入乌尔班巨炮的君士坦丁堡围攻战

石墙是欧洲军队点开巨型射石炮科技的诱因,但是在元末明初的中国,这种诱因并不存在。

我们再看看同时代中国,下图是十四世纪西安明秦王府南城墙的包砖夯土剖面,这只是西安城的内城城墙,仅包砖层厚就有一米,整体底宽就有十米,已经远超中世纪欧洲要塞的墙厚了。而且中国明清时期诸如此类城墙的数量也颇为庞大。 通常县城,卫所这类小城的夯土厚度也在4米左右,州城厚度多在7米,府城厚度则有10米以上



抗日战争中,日军用现代炮火轰炸过后的南京城墙,包砖层已经破损坍塌,但是夯土层依旧坚厚无比。



总的来说,这样的复合型砖包夯土墙,十分能承受炮弹轰击,而重炮的运输和使用又颇耗时耗力,而为了攻克这样的城池,元末明初的战争中,一般是投入回回砲这样的投石机亦或短粗臼炮这样的曲射火力,要不就是在城外架设敌楼亦或者土质炮台,将火炮运到高处,以便平击或者俯击城墙上的守军,而这样一来就大大限制了攻城火炮的重量。


明初俞本所写《纪事录》中载,至正二十七年(1366年),朱元璋攻打张士诚的苏州城,通共投入的大小将军炮筒就有2400多门。 六月二十四日,张四丞相于西阊门督战,方食桃,颊中石炮而死。徐达领四十八卫将士围城,每一卫制襄阳炮架五座,七稍炮架五十余座,大小将军筒五十余座,四十八卫营寨周列城围,张氏欲遁,不能飞度。铳炮之声昼夜不绝。
徐达用搭建的攻城塔车俯攻苏州城墙,搭设火炮轰击张士诚的守军,杀伤守城人员。 《名山藏》 士诚则婴城守,(徐)达为飞塔临车以俯崇墉,士诚则蒙市,达实大炮,炮风之中人靡不死者,士诚则亦大作礟御军,盖我将茅成死焉。
1900年,八国联军炮击后的天津城墙,城垛被摧毁的较为严重

明清时期使用火炮攻城的案例
仰放火炮时,明清军队则是以击破城上的砖石材质的城垛为主要目标,达到让守军没有避身之处,难于立足的效果。(例如明军收复四滦州以及清军攻打于子章台和蔡家楼台) 《牧斋初学集》卷四十七所载,崇祯三年五月初六日,孙承宗集兵进攻滦州,后金凭坚城据守不退,明军连攻数日不下。此时孙元化麾下将领黄龙以数十门火炮集中轰击滦州城垛。调整目标弹道,瞄准城墙中的几个垛口猛轰,迫使防守这段的后金兵避炮退却。之后明军火炮开始分开向目标墙段两侧城墙延续炮击,阻挡延缓后金兵回防战位时间,掩护明军步兵从目标墙段登城。

《满文老档》第二十九册所载崇祯三年明军收复滦州之战。 天聪四年五月二十三日,汗御殿,集诸贝勒大臣众民等,乃宣谕曰:“前我出兵时,每牛录甲兵,或二十人,或十五人。毁明坚固边墙而入,蒙天眷佑,故克其坚城,其所号天下雄兵,尽斩於各地。天以遵化、永平、滦州、迁安畀我,遂命每牛录遣护军三名,甲兵二十人驻守其地,兵数较前多,以阿敏贝勒、硕托台吉及诸大臣为统师。时明兵来攻滦州,战三日,
明兵发大炮,破城垛口二座
,
城楼被炮药焚烧,时我军稍避,其间,明兵从城圮处登城
,我兵复冲击,尽歼之矣。固为城破,大臣等不收兵撤回,身先出城。
天聪五年(崇祯四年)10月9日,后金军使用制造和缴获的6门红夷炮和54门将军炮攻打大凌河城外的于子章台。攻打三天,到12日击毁了于子章台的墙垛,守军投降。 《皇清开国方略》 太宗遣官八员,率兵五百人,及额驸佟养性所部兵,载红衣大将军礮六位,将军礮五十四位,往攻鱼子嶂台,其台峙立边界垣墙甚固,连攻三日,
发大礮击壊台垜
,台兵中礮死者五十七人,余皆惶扰。
《满文老档》四十二册 “十二日,于子章台主参将王景降。携来男丁二百三十九名、妇孺三百三十九口、马三十骡九、驴十四、牛十四。参将王景被引见汗。汗赐貂皮及貂皮帽,命服之。
以红衣炮及大将军炮攻该台三日,击坏墙垛
,中炮死者五十七人。”

《平叛记校注·卷上》记载崇祯五年,孔有德拉来登州的红夷炮攻打莱州,用红夷炮摧毁莱州城的城垛。 “在红夷大炮,铁子每个重六斤,触之即折,城垛尽倾,守垛者无处站立。”
《莱州府志》山东巡抚徐从治《请兵刻期进援以保莱城疏》所载莱府被孔有德军围困五十日,孔军在城外建立比莱州城墙还高的炮台,在高台上安置红夷大炮,用十斤重铁炮弹俯射莱州城垛口,射打百发百中。 “东北对塌角巍插一台,高出城表曰置红彝大炮,铁子每个重十斤,俯瞷城垛,遍击百发百中,一炮輒伤一垛,若入内则砖墙抱树必透四五层”


康熙本《黄陂县志》所载崇祯六年黄陂知县周元泰平定兵变的过程中,叛军用数门将军炮摧毁多处城垛。 周元泰,号春霁,四川人。仁慈而眀断,时四郊多垒,公每夜坐城上,使烟甲传筹以巡,贼不敢近。有总镇秦(秦甲)领兵过陂,兵有叛志,秦私至城下语公,公卽引秦登城。
次早,兵大哗,且盗架大将军(炮)数位,
一发如雷,城摧数堞
,合邑震动。公曰:兵无餉故哗尔。取银百余两,令秦之侄与我兵下城,传不叛者另立一旁,赏之。余叛兵胆丧,立斩二十人,遂定。至甘雨宜民,和风育士,尤一时召杜也,后行取南道巡按苏常等处,陂人思之。

崇德二年(崇祯十年)正月23日,多尔衮令汉军炮手用红夷炮轰击南汉山城东城的望月台。摧毁了旗杆、城垛/女墙,导致朝鲜守军无所遮蔽。

《石屏集》卷五所载,到了正月26日。清军红夷炮对南汉山城的数日轰击,将城垛全部摧毁,坚守40多天的朝鲜军,心理防线终于彻底崩,城内士卒出现哗变。 训鍊御营将士,诣阙请得斥和人等,以为将出战曰,
火炮所中,城堞尽坏
,事势之棘,已到十分地头。而文士辈,只为高论,请令文士守御望月台。

《清太宗实录》卷四十五所载崇德四年(崇祯十二年)2月22日,清军用红夷炮攻克松山城外敌台,亦是用炮摧毁城垛,迫使守军无立足之地。 ○庚戌,驻跸松山
○命恭顺王孔有德、怀顺王耿仲明、智顺王尚可喜等,以红衣礮击松山城东隅山台,台上药发自焚,百总一员,及兵丁等俱为火所燔,获台后,尽歼其人,路傍台二座,俱招降之。
○汉军左翼固山额真昂邦章京石廷柱等。以红衣礮击松山南楼台,
毁其垛口,台兵不能敌
,管台官王昌功率四十五人来降。汉军右翼固山额真昂邦章京马光远等,以红衣礮攻松山西南角台。管台官杨文显,率十一人来降。
崇德四年(崇祯十二年)2月24日,清军用27门红衣炮围攻松山城。 ○壬子。上登松山南冈。相度城垣形势。指示孔有德 。耿仲明 。尚可喜 。石廷柱。马光远曰。城南门中间以孔有德兵。右面以耿仲明兵。左面以尚可喜兵。俱用神威将军礮攻击。
耿仲明所攻处。马光远以本旗兵恊攻。城门用红衣礮九位。东南隅用红衣礮二位。城隅中间用红衣礮一位攻击。尚可喜所攻处。石廷柱以本旗兵恊攻。城南门用红衣礮八位。西南隅用红衣礮二位。城隅中间用红衣礮一位攻击。
又马光远石廷柱两旗各移红衣礮二位攻取城西南隅台。破台后仍移四位红衣礮于各分汛地。
二十五日。四鼓移礮前进。五鼓攻击。
俟城堞已坏。满洲兵可竖梯登城。
谕毕。诸将遵旨回营以待。上还营。
崇祯十二年(崇德四年)2月25日,清军用27门红衣炮(明军称仅南面就有37门红衣炮,但是清军的布置仅8门,应是明朝守军夸大了清军的武备力量)多次攻打松山城,松山城“城堞尽毁,止余城垣” 鞑贼将松山二十五,二十六两日狠攻,城中拾得打进炮子六百余个,俱重十余斤,目下南墙所装红夷炮三十七门。

崇祯十二年(崇德四年)2月27日,汉军称火药基本用尽,皇太极要求增派炮弹1万枚、火药五万斤。前后耽搁了半个多月,于3月15日,火药炮弹才重新运达。 ○乙卯。上遣官八员。各率牛彔兵一名齎敕往取礮子火药。敕云。皇帝敕谕和硕郑亲王等。前队多罗武英郡王等。至大凌河东四里屯。张刚屯。宝林寺。王民屯。于家屯。成化峪。道尔章等七屯。扬言用红衣礮攻击。台上人畏惧。俱已归顺。获壮丁。妇女。幼穉。共七百名口。马十九。骡十七。牛一百一十一。驴一百二十七。银一百六十两。
朕于二月二十二日。至松山。用红衣礮攻破附近松山三台。招降三台。命汉军及三顺王兵。
以礮攻松山城南门。两边城门。及城两隅垛口。已尽击毁。
至二十六日。
令满洲兵。从颓处竖梯登进。敌用秫秸木柴捍蔽。尚未攻入。
撤兵暂停。我兵是役。每旗有一二人被伤者。馀俱无恙。近闻俘获之人云。先发之兵。已克济南府。城中鲁王自焚。所得州县甚多。不知其数。又云。我兵已出边。尚不知虚实。其汉军所需礮子一万。火药五万觔。可作速运至。不论满洲蒙古汉人牛彔。计其马骡多寡。俱令合力载送。
明代这类空心的驻军墩台的地基为夯土和条石包裹,而上层驻军区域是比较脆弱的,砖厚仅有四五十厘米且无夯土,填充夯土就成实心敌台。加上驻军稀少,地处偏僻,难以得到支援,所以军堡常常会受到清军火炮的威胁。甚至短小的将军炮经过长时间的轰击,都能对其整体结构造成破坏。


墩台的定位就是充当夜不收这类哨兵或守边兵丁的临时居所,起侦查预警敌情,维持边境治安的作用。故而通常仅能防御蒙古游骑的骚扰。


崇祯十三年,蔡家楼台一战中,清军用六门万历时期的天字号九箍大将军炮击毁了蔡家楼堡台的全部城垛,还导致堡台的墙体结构出现崩坏,守军无法立足。

清军使用的火炮就明军的描述来看,应该是万历二十年天字号九箍大将军炮。此类炮使用八明斤的包铅铁弹(9.5斤)。

万历朝鲜战争,日军也缴获了三门天字号将军炮,日军使用了重达二贯目玉的铅弹,也就是15斤的纯铅弹。虽然射程不如红夷炮,但是十几斤的炮弹亦能在适当的距离内对纯砖石墙体造成损坏。


《沈馆录》卷3所载,崇祯十四年八月,松锦之战中被皇太极击败的洪承畴退守松山城,并在松山城发射炮弹轰击皇太极的大营,炮弹大于鹅卵 ,清朝联军在皇太极的大帐前筑夯土墙抵御炮弹,土墙厚一丈高二丈。

《沈馆录》卷3所载,崇祯十四年九月初五,松山发射的大炮弹屡次射到近前,清军多有损伤,皇太极和朝鲜世子被迫迁移到离城十里处驻扎。

《太宗实录》卷六十所载,崇祯十五年(崇德七年)四月十二日,清军攻打杏山城的前夕。皇太极对清军的炮兵重新做了规定,由于明军的这类山城不像小型堡台,防御力稍强,通常清军都是打城垛,但是崇祯十二年的松山攻城战,清军打坏墙垛后攻城,结果城垛会被守军很快修补好,并借此击退攻城的清军。于是皇太极要求清军以后打城,尽可能往城墙中部打,务必等到打塌到没法短时间修补,再去登爬,如果仅是少有破损,不可攻城。 又谕和託等曰,将此敕谕晓示城内,再以善言招抚之,来降则已,否则听在彼诸王,相机而行。若城可击,用红衣礮击之,傥一举礮,彼即归顺,亦许其降。举礮时,不可击城上女墙,当击城之中间,俟十分颓坏,方令我兵登进,其小有破坏处,不许骤登。
《沈馆录》卷7所载,崇祯十六年十月二十五日,济尔哈朗令清军依旧是齐放红夷炮击毁中后所城城垛后,便出兵攻城。

清军入关后,随着缴获到更多的火炮,以及需要攻打的城池变多,动用火炮攻城的情况也是屡见不鲜。但是就一些经典案例来看,能够被轰塌的城墙要么是单薄的宋元旧式城墙,要么是老旧不坚固的,也有一部分是在数量庞大的火炮和炮弹的集火攻击下出现了局部崩塌。 顺治元年十二月底至顺治二年正月初的的潼关之战。根据《世祖章皇帝实录》卷之十四记载,实际上清军没有攻破潼关,而是在野战中连续挫败了李自成主力的数次反攻,导致大顺守军士气严重受挫。 大军于元年十二月十五日,追流贼李自成兵至陝州,先遣前锋参领索浑,拜尹代等,率二十骑前往捉生,有贼将张有曾,屯兵灵宝县城外,索浑等乘夜袭击,败之。
二十二日,师距潼关二十里立营,候红衣礮军,时贼渠李自成在西安,闻信,率援兵至。二十九日,贼将伪汝侯据山为阵,以拒我师。前锋铳领努山,鄂硕等,率兵趋拔贼营,贼兵迎战,护军统领图赖,率骑兵百馀人直前掩杀,斩获过半。
二年正月初四日,贼将刘方亮,领兵千馀来窥我营,护军统领图赖、阿济格尼堪、阿尔津顾纳代、伊尔都齐敦、拜杜尔德等率正黄、正红、镶白、镶红、镶蓝五旗各牛录护军一名迎击,大败之。
多罗贝勒尼堪、拜尹图等,增兵奋击,复大败之,俘斩甚多。
自成闻败亲率马步兵拒战,随调镶黄、正蓝、正白三旗兵协力并进,尽歼其步兵,贼之骑兵各奔窜。
初五初六夜,贼又率众连犯我营,俱为我军击败。
红衣炮虽然难以击破夯土城墙,但是闯军在城外构筑墙垒壕沟工事却难以抵抗红衣炮的轰击。 初九日,红衣礮军至。
十一日,遂进逼潼关口,贼众凿重壕,立坚壁,截我进师之路。于是举红衣礮攻之,贼众震恐,我军相继衝入,诛斩无算。其先入者,穆成格、俄罗塞臣也。
之后李自成组织三百骑兵反攻,清军未能有太多进展。 既而贼又以骑兵三百横衝我师,为贝勒尼堪、怀顺王耿仲明 、贝子尚善所败。贼又分兵蹑我师后,蒙古固山额真恩格图,率殿后军又败之。自成遁走西安。
直到第二天,李自成主力撤退后,清军才得以通过大顺军设置在潼关外围的工事群,潼关七千大顺守军出城投降。 由于大顺军一直未能击败围城的清军,导致潼关守军陷入被动挨打的地步,再无反击的力量。就算守军死战不降,没有威胁的清军,只需花时间用红夷炮耐心的一一击破潼关城上脆弱的砖木材质的城垛、望楼、窝铺。大顺守军失去掩体,一样是难逃城破身死的结局,无非就是拖延的时间久一些。 十二日,护军统领阿济格、尼堪等领兵渡潼关濠口,贼众望风奔溃,守潼关伪吴山伯马世尧,率所部七千馀众迎降。
再如顺治二年攻扬州之战,根据康熙本《扬州府志》所载,由于扬州地处腹地,承平日久,没有大的兵祸,导致扬州的城池还保留着宋元时代的那种又高又薄的设计风格,墙厚仅仅一丈五尺(4.8米),而顶部的面宽只会更窄。这种厚度的城墙,甚至不如一些北方的县城,所以也就不难理解扬州为何在清军的红衣炮下难以支撑了。


《扬州十日记》中就记载了扬州城池太薄,导致火炮都没法正常安设。需要额外用长木板搭建一个平台,板子从城垛处一直延伸到城内民居的屋顶上,这样一来扬州守军才能有足够的位置安设火炮……但是随之而来的问题就是结构太不稳固,上面的人一多,板子就塌了,导致大量守城的士兵坠落摔死。 先是,督镇以城狭,炮不得展;城垛设一板,前置城径、后接民居,使有余地得便安置。至是,工未毕;敌兵操弧先登者,白刃乱下。守城兵互相拥挤,前路逼塞,皆奔;所置木板,匐匐扳援,得及民屋。新板不固,托足即倾;人如落叶,死者十八、九。
而且根据史料的记载,清军依旧是以破坏扬州的城垛为主要目标 弘光元年四月二十四日清军的红衣炮在城外布置妥当,开始试射,所用大的炮弹有十斤重。 《青燐屑》卷下“北兵试炮,飞至郡堂,弹重十斤四两,满城惶怖。”
根据《八旗通志》所载,此战明军的守城炮也对清军炮兵阵地展开过猛烈还击,三名八旗汉军督炮官被守军的炮弹打死。 祖应元,汉军正黄旗人。初任佐领,崇徳八年随和硕郑亲王济尔哈朗征明攻中后所,以本参领火礟从旁击其城破之,进取前屯卫复以礮攻克其外城,论功授骑都尉。顺治元年,随都统叶臣平定山西,督红衣礮克太原城,十一月随定国大将军和硕豫亲王多铎平定河南,二年四月进攻扬州府城中礮殁于阵。
金应得,汉军正黄旗人。世居沈阳地方,由骁骑校委署佐领,顺治二年随大兵征江南,四月攻扬州府城,中礮阵亡。
李向舜,汉军正黄旗人。明宁远伯李成梁之孙也,顺治元年以署参领随定国大将军和硕豫亲王多铎南征,督红衣礮攻武冈寨克其城,二年四月攻扬州府城中礮殁于阵。
随之而来的清军密集炮击,导致扬州的城防炮很快被压制,此战据《八旗通志初集》的“名臣列传”、“勋臣传”、“忠烈传”的记载,1645年4月参与清军进攻扬州城的汉八旗军官(牛录章京以上)计有36人,并且大都是掌炮武官,以此推测清军布置的红衣炮不会低于百门,每天会五六千枚的炮弹砸向明军城防,多次击塌扬州的城垛,刚开始,史可法还能组织民夫修补,后来清军炮击频率高了,也就没法再去修补。 《明季南略》“四月十九日,清豫王自亳州陆路猝至扬州,兵甚盛,围之。时史可法居城内,兵虽有,能战者少,闭门坚守不与战。清以炮攻城,铅弹小者如杯、大者如罍,堞堕即修讫,如是数次,而炮益甚,不能遽修。”
到二十五日,清军继续炮轰,轰到西北城垣倾颓,便开始派兵搭云梯攻城,扬州随之陷落。 《中国军事通史》第十六卷


再谈谈大同之战,目前关于大同之战的史料不多,但是据现有史料来看,清军在顺治二月之前,除原有炮手外,给大同增派的红衣炮督炮章京有4名,而红衣炮手有99名之多。前后参与攻城的红夷炮估计不下大几十门。 根据《世祖章皇帝实录》所载大同之战。 顺治五年戊戌。和硕英亲王阿济格等奏。十二月初三日、大同总督、司道、饷司、知府各官、出城验草。大同总兵官姜瓖、闭门叛。其收验粮草之钟古等、俱被陷。总督奔入阳和臣随统兵星夜前往。于初四日围其城请发红衣炮、以为攻城之用。……十七日命固山额真巴颜等率官兵,载红衣礮赴和硕英亲王军前,同讨姜瓖。
《清初内国史院满文档案译编 下册》 顺治六年一月十二日,由于围攻大同的红衣炮炮手不够,清廷加派汉军督炮章京2名,红衣炮手64名,限六日内到达前线。并告谕只要红衣炮一响,就算城内有人再想投降,也全部格杀勿论。

顺治六年一月二十四日,清廷继续增派汉军督炮章京2名,红衣炮手35名。

七月之前的缺乏档案,故未载。 七月初一,由于大同一直未克,多尔衮决定再次亲征大同,并将先行调拨的红衣炮运往宣府储存。

到七月十一日,清廷增派红衣炮80门,并准备能放千次之弹药运往距离大同不远的山阴县。给大同留三十门小红衣炮,其余的估计是要去打朔州和宁武关等城。

虽然没有找到攻城的具体描写,但是清军一直到八月二十三日杨振威杀姜瓖投降之前,围城十个月一直没有攻克大同。最后是围困到城内守军叛变而结束。 顺治六年戊午,平西大将军和硕英亲王阿济格敬谨亲王尼堪等、遣学士苏纳海等奏报
八月二十三日。伪总兵杨振威、遣其守备刘宝来言、我等原系良民,为逆寇姜镶迫胁而反,大军来围大同,即欲斩逆镶归顺,奈力有不及,故尔迟迟。今兵民饥饿,死亡殆尽,馀兵无几,我等问计于各官,裴季中等二十三人,与我等合谋,约斩姜镶归顺。于是臣等向来人言,汝等若斩镶来归,自当恩养。至二十八日,果斩姜镶,并其兄姜琳,弟有光首级来献。二十九日,大军入大同城。疏入,下所司议叙。
再谈谈顺治七年(永历四年)的第二次广州之战。 根据《明清史料丙编》第八本的史料所载。三月初四日尚、耿主力进至丛化县,明知县季奕声投降。三月初六日尚、耿所部即推进到广州郊外。南明两广总督杜永和严词拒绝尚、耿的招降,据城坚守。初九日晨,清军抬着梯子进攻广州北城,被守军的火炮击退。尚可喜见广州守御坚固,城中明军实力尚强,于是不再强攻,开始挖壕围城,并筹备大炮。一直到十月下旬,清军基本做好了攻城的准备


根据《明清史料丙编》第八本的史料所载,尚可喜在奏报中提及自己在围城期间,命投降知县季奕声在丛化县加紧铸大炮,一共造成四十六位,加上由赣州带来和途中缴获的大炮共二十七位,除去中小型火炮,合计七十三位(就《平南王元功垂范》一书所载,这里的大炮就是指红夷大炮,可见明末的广州各县已经具备批量造攻城重炮的能力),每门炮均配备四百枚铁弹。合计大炮弹准备了2.9万多颗,小型炮弹更是数不胜数。 十一月初一日三鼓时刻(凌晨一点),清军把所有的大炮安置广州城西北的高山上,集中炮火俯击西北角城垣,优先将城上的城垛全部击毁,炮击到了初二日下午两点左右,该处城墙终于轰塌约三十丈。 1900年,被八国联军击塌的河北保定城墙,包砖和夯土垮塌后形成的土山,攻城的士兵可以利用这个坡度攀爬登城

由后面明清两军的攻防方式以及记载上来看,这里被击垮的应该是外面的包砖层,且内部的夯土层亦有松塌,残存的城墙高任“身犹余丈许”,城上的守军依旧站在城上用火炮火枪阻击攀登爬城的清军,可见此时被集火攻击的西北城墙还未完全毁坏。但是由于城垛全摧,守军已无遮蔽,最终难逃城破。 此战清军缴获广州城防大炮就有五百一十二门,而盔甲器械鸟枪等大小火器更是数不胜数。

《平南王元功垂范》中记载基本一致,只不过有些记载比较详细,比如点明了大炮为红夷大炮。然后提及被轰塌的西门北面城墙依旧有四米高(一丈许),爬城的清军被明军城上的火器打死打伤颇多,一度败退下来,尚可喜急的亲自披挂上前线指挥爬城。


后文大篇幅描写了尚可喜亲自披甲在前线作战的事迹。尚可喜眼见天色将黑,城身也将被轰平,但前线爬城将士损失惨重,清军前线将领打算把伤亡惨重的前队撤下来,重新选派兵力再次进攻,尚可喜表示再派新兵来不及了,于是携马渡壕,亲自去前线督战,甚至一度想要冒着炮矢先登夺城,被部下阻止后恼羞成怒,拔刀打算自刎相逼。士卒见此无不卖命爬城,并用箭射击守城明军。


《南海百咏续编》中也有简略提及广州之战的过程,其中提到清军把火炮安置在西北面的高岗上,接着清军的炮火最先摧毁了西北城墙的全部城垛,然后在持续的炮击下,到午时(下午1点左右),墙体崩塌数十丈,于是清军开始从坍塌处爬城进攻,城上明军矢石如雨,清军尸体堆积如山,于是尚可喜亲自去炮所督战,清军继续用炮轰到酉时(下午6点左右),残存的城墙都快要被打平了,明军依旧在奋力投掷火把阻挡登入的清军,尚可喜见此,便携马渡壕督战,最后到二鼓时刻(晚上10点左右)清军方才攻入广州城,并与明军展开巷战,歼灭明军六千多人,并下令屠城。两广总督杜永和带残部开南门,乘海船一千余艘撤往海上。


就实物来看,尚可喜口中这五百多门缴获的明军守城大炮,大部分应是红夷炮型,而且有相当一部分是围城期间铸造的。由于广州城高二丈八尺,上广二丈,下广三丈五尺,虽然在明清的包砖夯土墙中算是比较宽大的,但六米的城面也仅能安置长度两米左右的中小型红夷炮。(考虑到炮车长度以及火炮后座力,需要预留一定的空间) 由此来看,广州之战,应该是明清两朝炮战的最高峰,双方投入的欧式轻重火炮已达数百门之多。 以崇祯十四年4月25日的东西石门炮战的清军炮击效率以及乌特利支堡之战中郑军的炮击效率来分析,尚可喜部的七十三门红衣大炮对广州西北城墙两天的连续炮击,发射的炮弹量当在1.5万枚以上,这还没算尚军手里中小型火炮的发射量。 香港海防博物馆馆藏永历四年铁炮,督造官两广总督杜永和。


香港历史博物馆藏永历四年铁炮,督造官两广总督杜永和。



广州博物馆藏永历四年铁炮,督造官两广总督杜永和。



由于围城近十个月的尚可喜在此刻已经焦急万分,如果还拿不下广州,他将有被清廷问罪的风险,以至于在夜间也会发动炮击,督炮不可谓不严,丝毫不给明军以喘息之机。 而且清军将火炮布置在广州城外的西山上,便可以俯击城垣。其实这个问题,早在一百年前就被来华传教士发现了。嘉靖三十五年(1556),葡萄牙人克路士到达广州,并在广州住了几个星期。他在《中国志》第六章写道: 这座城(其他城也一样)沿江筑城,很象是在濠堑之内,因为城的另几面是被一条灌满水的宽大濠堑围绕。这条濠和城墙之间有足够的地盘,可集合一支大军。挖掘濠的泥土堆在它和墙之间,因此墙根部比其他地方高出许多。不过在濠以外此城仍有一大缺点,那就是在河对面岸上,城墙和濠之外有一个可俯视墙内全城的山头。
这位葡萄牙人所处的位置,是在第一津附近,他在文中还提到,在河对岸可以看见城里有一座漂亮的高塔,那就是六榕花塔。他说的山头,应该就是第一津与兰湖之间的西山。 虽然广州府城平均厚度达到8米多,但是占据优势炮位的清军,使用上万枚的弹量集火打塌长度约百米的包砖墙体也已是绰绰有余。
在重型火炮的持续轰击下,夯土构建的西式棱堡依旧会面临摧毁的风险。所以对于构筑不完善的棱堡要塞,也不易高估其承受火炮的能力 例如在1661年5月25日日出前的两个小时的时间里,郑军在大员市镇中构筑的篮堡炮台上布置了三十余门铜铁大炮,尝试对热兰遮城发动第一次攻击,也是最大强度的炮击。在荷兰人反应之前,便打出了40余发炮弹,荷军火炮立刻还击,在天亮前双方又各自打出350余发炮弹,其中郑军的炮弹有250发击中热兰遮城,严重破坏了热兰遮城的棱堡、半月堡以及之间胸墙,城内的房屋也受到五十余发炮弹的重创。
郑军见城堡出现破损,便派出千余人的步兵摸黑攻城。荷方声称在攻城战中击毙了郑军三百人。不知道是否是炮药量不足还是打算节约弹药,郑军此后对热兰遮城的零星炮击,发射的炮弹量都没能达到此等强度,而且也再未派兵攻城。
按《从征实录》的记载,郑军主要工作应是在屯田征粮,解决温饱“二十四日,藩以台湾孤城无援,攻打未免杀伤,围困伺其自降。随将各镇分派汛地屯垦。”
《巴达维亚城日记》


《热兰遮城日志》


郑军的炮弹能够轻而易举的打中热兰遮城,有一部分原因是该城没有在外围构筑完善的防炮斜坡以及壕沟。但是由于热兰遮城处于狭长的鲲身半岛之末端,三面临海,一面背靠乌特利支堡驻守的山丘。这样的地形条件本就天然的易守难攻,能够留给郑军架设火炮的位置仅有大员市镇(热兰遮镇)一处,但是该市镇同时也在荷军的炮火射程之内。




《热兰遮城日志》 1662年1月25日,郑军在投降荷兰军官的带领下,投入28门大炮摧毁了山丘上的乌特利支堡(城堡墙体厚度10呎)并打算在山上修建炮台,为总攻热兰遮城准备,此时郑军的火炮终于可以俯射热兰遮城。1662年2月2日,荷兰驻台湾总督揆一在惊惧之下,不得不与郑成功议和,交出热兰遮城并退出台湾。

《梅氏日记》 七个小时内,郑军向乌特利支圆堡射了1700发炮弹,将其夷为平地。

《1661决战热兰遮》中引述荷兰驻台湾总督揆一秘书的估计,当天炮击乌特利支堡的炮弹多达2500发,而且大部分都打中了圆堡。



