欢迎光临散文网
会员登陆 & 注册
手机站
首页
散文
诗歌
杂文
随笔
日记
小小说
散文网
»
生活
»
日常
» 《泛函分析》1~2章考前重点归纳
《泛函分析》1~2章考前重点归纳
2023-06-19 09:37 作者:
西部小开发1412
0
人读过
|
我要投稿
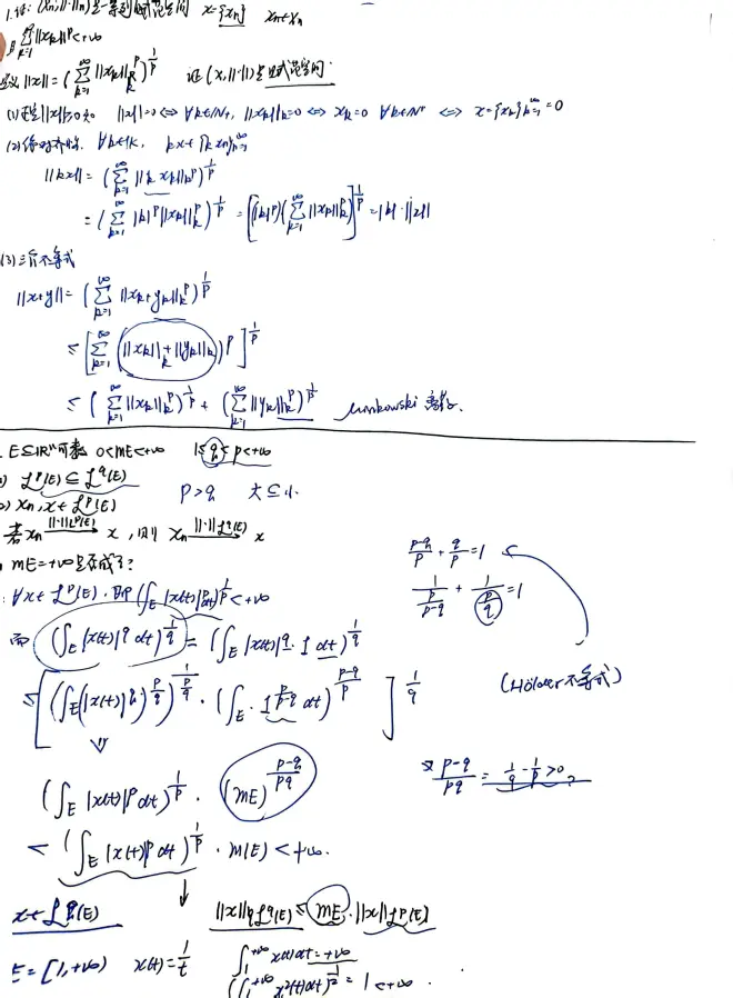
第一章 度量空间
第二章 赋范线性空间
第一、二章重点例题-应会
标签:
我喜欢(
)
本文
作者的其他文章
《泛函分析》1~2章考前重点归纳的评论 (共
条)
分享到微博
请遵守国家法律
西部小开发1412
发短消息
关注TA
你可能也喜欢这些文章
德天易:拼多多目标投产比是不是越高越好?
如何注册比利时公司,公司税收多少,有哪些条件?
中企公司美洲招聘铆工
C5191磷青铜棒
全球手推热熔划线机市场趋势调研报告2023-2029
爱克赛机房空调
EKSI机房空调
浙江EKSI机房空调
时光代理人真人剧开拍,某站加入真人剧大军,网友跪求放过二次元
SOROTEC机房空调
最新发布的文章
农发行河津市支行做好年终决算工作
农发行河津市支行持续加强反洗钱工作管理
农发行河津市支行扎实做好安保工作
农发行河津市支行组织开展宪法主题宣传活动
农发行河津市支行开展"挺膺担当,强国复兴"主题团日活动
年终总结2023,布局2024,挑一个目标置顶一整年!
12月20日维护结束,冰雪嘉年华开启!
2023扫文—高热不止 by 黄昏密度
Dive 55 工作的平衡
时尚 | 时尚趋势是如何做出来的?
三星 Galaxy S24 Ultra,HP2SX两亿像素主摄,骁龙8Gen3超频版,钛合金机身,类2K直屏
重庆TOP DECK超牌12月16日游戏王OCG积分赛环境战报
致命公司多人联机mod,汉化游戏下载使用安装教学!
致命公司多人mod,超全MOD模组管理器
战网下载卡在45%登录失败提示2045报错/战网一键下载注册教程!