欢迎光临散文网
会员登陆 & 注册
手机站
首页
散文
诗歌
杂文
随笔
日记
小小说
散文网
»
科技
»
学习
» 破解一道高计算量圆锥曲线(2)
破解一道高计算量圆锥曲线(2)
2023-03-04 18:35 作者:
qqq-qqq_
0
人读过
|
我要投稿
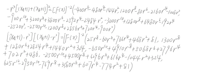
将xA,xB的
和积
关系表示出,抽丝剥茧算出代证式子的简洁形式,注意分母
换元简化计算
。
下一阶段就是将r
解出
,并带入原式证明其他项系数
也为0
.
标签:
我喜欢(
)
本文
作者的其他文章
破解一道高计算量圆锥曲线(2)的评论 (共
条)
分享到微博
请遵守国家法律
qqq-qqq_
发短消息
关注TA
你可能也喜欢这些文章
24考研数学老师跟谁比较好?
【lycoris recoil】(莉可丽丝)婚礼现场的主持回忆(公开版)
中国福利彩票“双色球”第2023024期公益娱乐推算
在法国赶海,捡一袋螃蟹做全蟹宴,满肚蟹黄鲜味足
奥迪A6舒耐特隐形车衣,防腐蚀、划伤
ShuffleNet v1 自用笔记
【女性向/强制】你以为还清债务就可以走,却被病娇前男友圈禁了
熊亿川 《中国经济周刊》专家顾问理事会 理事
《冲就完事模拟器》《最终幻想7》免费联动DLC“米德加的特别委托”现已上线
【某幻×你】错过(1)
最新发布的文章
农发行河津市支行做好年终决算工作
农发行河津市支行持续加强反洗钱工作管理
农发行河津市支行扎实做好安保工作
农发行河津市支行组织开展宪法主题宣传活动
农发行河津市支行开展"挺膺担当,强国复兴"主题团日活动
年终总结2023,布局2024,挑一个目标置顶一整年!
12月20日维护结束,冰雪嘉年华开启!
2023扫文—高热不止 by 黄昏密度
Dive 55 工作的平衡
时尚 | 时尚趋势是如何做出来的?
三星 Galaxy S24 Ultra,HP2SX两亿像素主摄,骁龙8Gen3超频版,钛合金机身,类2K直屏
重庆TOP DECK超牌12月16日游戏王OCG积分赛环境战报
致命公司多人联机mod,汉化游戏下载使用安装教学!
致命公司多人mod,超全MOD模组管理器
战网下载卡在45%登录失败提示2045报错/战网一键下载注册教程!