欢迎光临散文网
会员登陆 & 注册
手机站
首页
散文
诗歌
杂文
随笔
日记
小小说
散文网
»
笔记
»
全部笔记
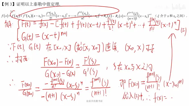
» 泰勒公式及麦克劳林公式[高等数学18]
泰勒公式及麦克劳林公式[高等数学18]
2023-03-20 00:01 作者:
Xavze
0
人读过
|
我要投稿
标签:
我喜欢(
)
本文
作者的其他文章
泰勒公式及麦克劳林公式[高等数学18]的评论 (共
条)
分享到微博
请遵守国家法律
Xavze
发短消息
关注TA
你可能也喜欢这些文章
英雄联盟官方小说《破败之咒》第三十二章
PL永久激活版 Pl2023软件安装 PL软件下载及安装教程 PL安装教程 PL所有版本
苹果创下新纪录!iPhone 15系列敲定:这波看谁还能拿边框吊打它!
FGO双服3.20周常任务规划&周事件
女孩子穿袜子一定要优雅
朱颜曼滋
第三十六章:盘缠
旅行者,今晚想要吃什么?
[长文] 解铃还须系铃人——大龄音游玩家通过Arcaea摘星解除游戏心结的经历
念念不忘,必有回响
最新发布的文章
农发行河津市支行做好年终决算工作
农发行河津市支行持续加强反洗钱工作管理
农发行河津市支行扎实做好安保工作
农发行河津市支行组织开展宪法主题宣传活动
农发行河津市支行开展"挺膺担当,强国复兴"主题团日活动
年终总结2023,布局2024,挑一个目标置顶一整年!
12月20日维护结束,冰雪嘉年华开启!
2023扫文—高热不止 by 黄昏密度
Dive 55 工作的平衡
时尚 | 时尚趋势是如何做出来的?
三星 Galaxy S24 Ultra,HP2SX两亿像素主摄,骁龙8Gen3超频版,钛合金机身,类2K直屏
重庆TOP DECK超牌12月16日游戏王OCG积分赛环境战报
致命公司多人联机mod,汉化游戏下载使用安装教学!
致命公司多人mod,超全MOD模组管理器
战网下载卡在45%登录失败提示2045报错/战网一键下载注册教程!