欢迎光临散文网
会员登陆 & 注册
手机站
首页
散文
诗歌
杂文
随笔
日记
小小说
散文网
»
笔记
»
全部笔记
» 齐次化秒解高考数学圆锥曲线大题,妙啊!
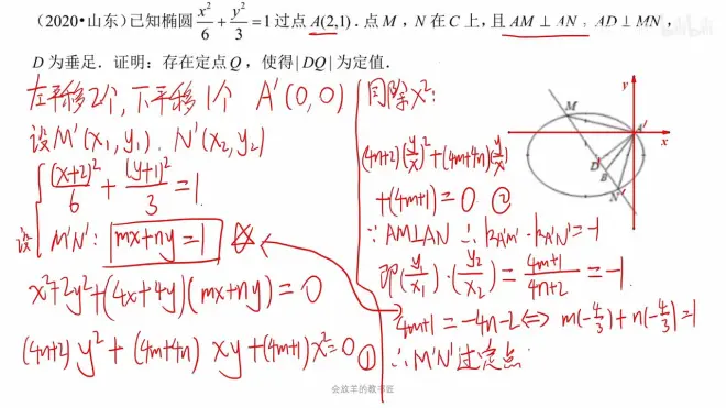
齐次化秒解高考数学圆锥曲线大题,妙啊!
2023-02-20 22:45 作者:
他们叫我二子
0
人读过
|
我要投稿
1
2
3
4
标签:
我喜欢(
)
本文
作者的其他文章
齐次化秒解高考数学圆锥曲线大题,妙啊!的评论 (共
条)
分享到微博
请遵守国家法律
他们叫我二子
发短消息
关注TA
你可能也喜欢这些文章
自考00260刑事诉讼法学〔复习资料〕历年真题+章节知识点+题库+名词解释
【原神二创】奇奇怪怪的旅行故事002
發財
网络谋杀者无需负罪
不用下载软件,在线就能设计活动邀请函的方法!
“古代中国”是谁创造的概念?意欲何为?
实用乱世佳人维多利亚复古宫廷风公主头发型教程!扁头必备超蓬松!
冤种实验室日常-3
FGO卫星DIY小作坊——第7期·安徒生(Pretender)
骁龙8+落伍了吗?护眼直屏+百瓦快充+一亿像素,红米旗舰低调离场
最新发布的文章
农发行河津市支行做好年终决算工作
农发行河津市支行持续加强反洗钱工作管理
农发行河津市支行扎实做好安保工作
农发行河津市支行组织开展宪法主题宣传活动
农发行河津市支行开展"挺膺担当,强国复兴"主题团日活动
年终总结2023,布局2024,挑一个目标置顶一整年!
12月20日维护结束,冰雪嘉年华开启!
2023扫文—高热不止 by 黄昏密度
Dive 55 工作的平衡
时尚 | 时尚趋势是如何做出来的?
三星 Galaxy S24 Ultra,HP2SX两亿像素主摄,骁龙8Gen3超频版,钛合金机身,类2K直屏
重庆TOP DECK超牌12月16日游戏王OCG积分赛环境战报
致命公司多人联机mod,汉化游戏下载使用安装教学!
致命公司多人mod,超全MOD模组管理器
战网下载卡在45%登录失败提示2045报错/战网一键下载注册教程!