经营学研究室|带你深度了解金融工学
最近很多学生跑来问到底什么是金融工学?金融工学和金融学有什么区别?(国内叫金融工程/金融数学,要细分两个还是有区别的,日本不怎么细分,具体看教授发表的paper还是能分辨出来的)
#1金融工学是什么?
看看互联网是怎么解释的。
金融学是从应用经济学中化出来的学科,研究个体或组织在不确定的环境中如何进行资源时间配置的学科。即通过对未来不确定性研究的基础上,进行合理的资源配置并获得收益。
金融工学是用数学和工程学的方法来建立金融模型,进而计算金融收益与风险的一门学科。
如果本科就是金融工学或者数学系又或者统计系的,推荐修士学金融工学,如果本科是偏文的专业推荐学金融学。
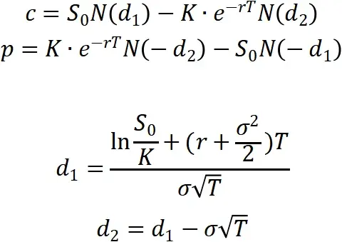
#2金融工学-公式
下面感受一下金融工学入门级,人人必会的公式吧,也就是Black-Scholes期权定价模型,公式如下:

看样子也还好是吧,顶多一个什么,好像是正态分布?是的,表示标准正态分布的累积概率分布函数。
那我们接下来看,如果我们要得到以上的式子,就必须要知道随机过程,接下来我们感受一下随机过程的式子吧,这是金融工学最最最基础的式子。


老师,金融工学都是这个样子吗?是的。不信就找几个金融工学教授,随便点开他们发的文章,是不是都是以上这些公式的变形。
如果不是,说明这个学校没有分的那么细,可能这个老师是金融学或者偏微观经济的,那就又说明一点,这个学校都没有完整的金融工学方向。
#3金融工学的优势
其实学金工也有学金工的好处。先画个饼,大家有听过quant这个职业吗?这可是华尔街最聪明最厉害的那群人在做的事情,2008年的金融危机也是因为这群人导致的;
所以如果真能找到这类工作薪水可观,不管是在中国还是日本还是其他国家。当然,前提要具备数学+编程+金融(依次重要性减弱)的能力。
挤不进quant,做数据分析嘛,也不错,进可攻,退可守。如果是金融学或者经济学,攻不了的话,那退的可就有点多。
当然,每个职业都是好职业,看兴趣所在。做自己感兴趣的事情,热爱可抵岁月漫长。
#4金融工学的确定性
论考学的确定性,肯定是金工确定性高,前提是会。就像简单的试卷和难的试卷一样,简单的试卷比的是细心,难得试卷比的是会不会。
在金工的考学里,考点范围都是固定的,因为门槛高,所以考点范围很小,几乎固定死了,大概就是国内金工本科生毕业的水平就行了,没什么弯弯绕绕的东西。
再细化一下,就是Black-Scholes期权定价模型怎么推导呀,来龙去脉,完全吃透,问题就不大了,所以确定性很高。对数学不排斥的话,找科班出身的人教一下,突击一下,就OK了。
本身报考这个方向的考生就不多,上文也说了,看到那些公式,已经劝退了大部分人,只要把这个方向的基础的搞懂就好了,相比较金融学、经济学而言,考学更省事。
#5金融工学和金融数学有什么区别
最后说一下,金融工程和金融数学的区别,来自互联网。
金融数学:是利用我国数学界某些方面的优势,围绕金融市场的均衡与有价证券定价的数学理论进行深入剖析,建立适合国情的数学模型。
金融工程:是负责衍生品定价模型的建立和应用、模型验证、模型研究、程序开发和风险管理。
接地气地说,金融数学更偏重模型和数学,而金融工程是实践,更偏重于应用和编程吧。
日本方向上没分那么细,大部分都是叫金融工学,做的确实金融数学的那些事,可能是因为伊藤清教授吧,上述的Black-Scholes的PDF就要用到伊藤教授的伊藤引理去推导。
#6资料推荐
最后的最后,推荐大家一些资料吧。如果想了解金融工学,入门级的嘛就去B站看一下厦门大学郑振龙、陈蓉教授的金融工程视频,感受一下。
书籍推荐:《Options,Futures and Other Derivatives》约翰·赫尔(John C. Hull)
这是期权期货与其他衍生品,在金工领域可是圣经般的存在,可以感受一下。