inconel751合金材质特点及应用
1前 言
Inconel751合金是一种以Ni-Cr为基,以γ'-Ni₃(Al,Ti)为主要强化相的镍基变形高温合金,是早期发展的镍基高温合金Inconel X-750合金的改进型。与Inconel X-750合金相比,主要差别是In-conel751合金中增加了Al的含量,从而提高了合金的持久强度,可使工作温度达870℃。国外已经大量使用Inconel751合金作为排气阀材料,国内也开始对Inconel 751合金的组织性能和加工工艺开展研究。本论文通过在Gleeble-1500热模拟机上采用圆柱体高温单道次压缩试验,对Inconel 751合金流变应力进行研究,分析其高温变形时流变应力的变化规律,为生产中制定合理的热加工工艺提供理论依据。
2试验条件及方法
Inconel751合金采用真空感应炉冶炼,经锻造制成φ16mm~18mm的棒材,再加工成φ8mm×15mm试样,在Gleeble-1500热模拟机上进行压缩试验,试验用合金的化学成分见表1。压缩过程中,在圆柱体试样两端加放钽片,以减少摩擦对应力状态的影响。试验温度为:980℃、1030℃、1080℃、1100℃、1130℃、1150℃、1180℃、1200℃,变形速率为:0.005s⁻1、0.01s-1、0.05s-1、0.1s-1、
1.0s-1、10.0s-1、20.0s⁻1,应变量为1.0。热模拟试验的升温速率为10℃/s,保温时间为5min,变形完成后立即对试样水淬。

来百度APP畅享高清图片
3试验结果与分析
3.1 真应力-真应变曲线
整理Gleeble-1500高温压缩试验所得数据,采用Origin6.0软件做出相同温度、不同应变速率,相同应变速率、不同温度下的真应力-真应变曲线,平滑后得图1和图2,其中σt为真应力,单位为MPa,εt为真应变。
3.1.1 变形温度的影啊
Inconel 751合金在不同变形温度、同一应变速率下的真应力-真应变曲线(见图1),可以看出,热压缩变形过程中发生了明显的动态再结晶[2],在同一变形条件下,随着变形的增加产生加工硬化,这是由于随着变形量增大,位错不断增殖,位错间的交互作用又增大了位错运动的阻力,从而呈现加工硬化现象。超过某一形变量后,变形储存能成为再结晶的驱动力,再结晶可以消除或改变原来的变形织构,发生动态再结晶软化,当软化速率与硬化速率平衡时,流变应力达到最大值;随后随着动态再结晶的进行,软化速率大于硬化速率,应力逐渐下降;当发生完全动态再结晶后,其晶粒组织和流变应力不随变形量变化,进入稳态变形阶段。当应变速率相同时,变形温度越高,合金的流变应力越低,这是由于随着温度升高,滑移系的临界切应力下降,合金的变形抗力降低。


3.1.2 变形速率的影响
在同一温度下,不同变形速率的真应力-真应变曲线如图2所示。
从图2可以看出,Inconel 751合金热压缩变形时,同一变形温度下,应变速率越低,相同变形量、所对应的真应力越小。再结晶由形核、长大过程组成,形核是个热激活过程,在低应变速率条件下,变形组织有较长的时间形核长大,核心形成的几率增加,因而再结晶更容易进行,流变应力更小。从图2可以明显看出,同一变形温度下,变形速率越低,峰值应力所对应的应变越小,这是由于变形速率较低时,再结晶形核的时间较长,形核量数量多,所以再结晶软化的作用强于加工硬化的作用。
3.2热变形流变应力方程
热变形过程中,材料的高温流变应力σ主要取决于变形温度T和应变速率ε。Zener和Hollomon在1944年提出并试验σ-ε证实了确定钢在高速拉伸试验条件下流变应力的一种方法,提出Z参数的概念[3]。其物理意义是温度补偿的变形速率因子,依赖于T,而与σ无关;Q是热变形激活能,它反映材料热变形的难易程度,也是材料在热变形过程中重要的力学性能参数。如果知道函数关系Z=f(σ),或者更确切地说,已知与试验结果相符的经验公式Z=f(σ),便可以测定与σ无关的热变形激活能。该方法有自调节功能,即材料常数的近似值已包含在Z=f(σ)式中,由该公式确定的Q值又反过来进一步精确材料常数值[4]。
研究表明,热加工参数Z可由以下两种形式表示[5]:

其中e为应变速率,Q为表观形变激活能,与应力几乎无关,R为气体常数,T为变形温度,a,为峰值应力,k、β为常数,n为应力指数。式(1)适用于热变形时应力较大的情况,式(2)适用于热变形时应力较小的情况,根据试验结果,对于In-conel751合金选用式(1)。
将式(1)两边取对数可得

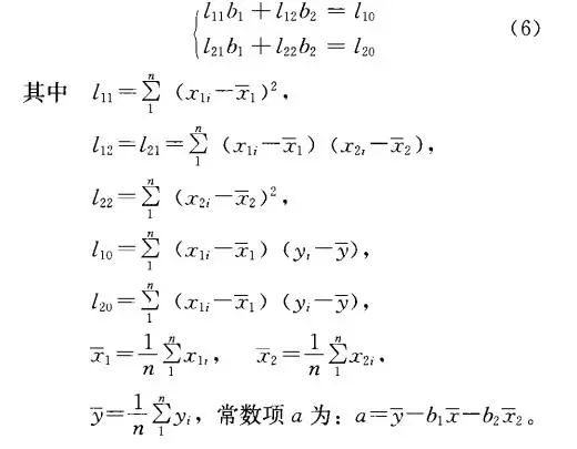
由最小二乘法原理,可以推出b、b₂必须满足下面的方程组[6]:

Inconel751合金高温压缩变形试验得到不同温度和变形速率下的峰值应力如图3所示。

将图3数据代入到上述模型中,使用Origin6.0软件进行计算和分析,可以解得:
a=-691.2956
b₁=31.3415
b₂=1.236832×106
经转换计算可得
β=0.0319,k=3.7946×109
变形激活能
Q=328.10kJ/mol

代入数据计算可得:R相关=0.9671,故所得回归方程比较理想。
将回归所得参数代回式(1),可以得到Z参数的表达式为
Z=εexp(39463.01/T) (7)
Z=3.7946×10⁹exp(0.0319σ,) (8)
将结果代入式(5)得到Inconel751合金热压缩变形时的流变应力方程为
σp=31.3415Inε+1.236832×10⁶·(1/T)—691.30 (9)
根据式(9),同一变形温度,变形速率越高,峰值应力越大;同一变形速率,温度越高,峰值应力越小,这与本试验所得数据和曲线一致。
4结 论
1) Inconel751合金在变形温度为980℃~1200℃、应变速率为0.005s-1~20.0s⁻¹时,发生了明显的动态再结晶。在不同变形条件下,应变速率保持不变时,变形温度越高,稳态变形阶段的流变应力越低,发生动态再结晶的临界变形量越小;变形温度保持不变时,应变速率越低,稳态变形阶段的流变应力也越低,发生动态再结晶的临界变形量越小。
2)用Zener-Hollomon参数的双曲对数函数形式能较好的描述Inconel751合金高温变形时的流变应力方程,获得的Inconel751合金Z参数和应力的表达式分别为Z=εexp(39463.01/T)Z=3.7946×10⁹exp(0.0319σ,)a=31.3415lnε+1.236832×10⁶·(1/T)-691.30。
3)Inconel 751合金热变形激活能:Q=328.10kJ/mol。

