【高等数学第10讲】高阶导数

第十章 高阶导数(侧重计算)
一、知识点
- 高阶导数定义:04:32
- 注:f(x)n阶可导=>f(x)直至n-1阶连续可导。
- 求导与奇偶性的变化:(前提:f(x)可导)17:58
- f(x)奇函数=>f'(x)偶函数(反之不成立)(因为有个C)
- f(x)偶函数<=>f'(x)奇函数(C不影响函数关于x轴对称)
- 求高阶导数的方法(显函数): (归纳法、公式法、泰勒) 28:35
- 归纳法:29:12
- 直接求,找规律
- 一些常见函数的n阶导数的记忆:
- sinx和cosx的n阶导数:32:11
- (sinx)^(n)=sin(x+n*(π/2))
- (cosx)^(n)=cos(x+n*(π/2))
- 幂函数n阶导推论记忆(见图1):35:43
- y=ln(1+x)的n阶导数:39:40
- 转换成求幂函数n-1阶导数问题
- 两个函数乘积的n阶导(莱布尼兹公式):(见图2)42:14
- 公式法:
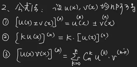
- 公式见图3
- 泰勒:(见图4)01:01:35
- 对比:
- 莱布尼兹公式:两函数乘积的n阶导,n一般取值很大,几十或上百或者就是n
- 泰勒:两函数乘积有限次较小高阶导
- 反函数的高阶导数:01:12:04
- 原函数的一阶导不为0这个条件不能缺少。
- 求高阶导数的思想跟求反函数的二阶导数一样
- dx^2与d(x^2)的区别:01:22:00
- dx^2是微分的幂,d(x^2)是对x^2求微分
图1:

图2:

图3:

图4:

二、证明
- 证明“f(x)可导,f(x)奇函数=>f'(x)偶函数,且反之不成立”:18:60
三、计算
- 考察二阶导数的概念:10:02
- 利用求导与奇偶性的变化做题:27:18
- 一眼就能秒,第一次做真的求了三次导。
- 归纳法+公式法求n阶导:48:41
- 待定系数拆:50:46
- 用麦克劳林公式:(好好体会一下怎么确定拆到哪一项)01:07:49
- 第一次看的时候没有搞懂为什么要乘120=>我们求出y的5阶导数系数是8/15,它是由y在0处的5阶导除以5的阶乘得来的。所以y在0处的5阶导=(8/15)*(5!)