QLab增加熵权-topsis模块
熵权TOPSIS 法是将熵权法的客观赋权与TOPSIS 法的多属性决策排序相结合,在TOPSIS 法构造加权规范化矩阵的过程中,利用熵权法得到的权重加以运算,如此一来,将客观的赋权方法与严谨的多维排序巧妙联系,帮助决策者进行科学评价。
QLab目前新增了这个熵权-topsis模块,使用者依然只需要准备好数据就可以得到评价结果及排序,方便快捷。
熵权-Topsis的计算步骤主要分为两大步,首先是用熵权法得到指标权重,然后是用Topsis计算相对贴近度。
熵权法部分可以参考之前的推文,这里介绍Topsis部分:
1、对原始矩阵进行处理
如果有负向指标,取倒数,做趋同化处理,得到新的决策矩阵,然后使用如下公式得到规范化决策矩阵。

2、构造加权规范化矩阵,传统的topsis是利用人为给定的权重加以计算,主观因素会影响最后的排序结果,这里采用的是熵权法得到的权重,避免主观因素。具体操作是将规范化决策矩阵中的每一个向量与该向量对应的指标权重相乘,从而得到加权规范化矩阵。
3、确定正负理想解
其中,正理想解为正向指标的最大值和负向指标的最小值组成的集合;负理想解为正向指标的最小值和负向指标的最大值组成的集合。
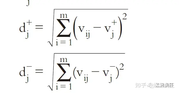
4、计算欧氏距离
分别计算待评价对象到这两个标杆的欧氏距离,便可以进行评价排序。
公式如下:

5、最后计算相对贴近度

根据相对贴进度Cj的大小,就可以对待评价对象进行排序。Cj值越大,表明该待估对象距负理想解越远,距正理想解越近,待估对象越好;Cj值越小,表明待估对象距负理想解越近,距正理想解越远,待估对象越差

